Question
(a) What is the temperature increase of water falling 55.0 m over Niagara Falls? (b) What fraction must evaporate to keep the temperature constant?
Final Answer
Solution video
OpenStax College Physics, Chapter 14, Problem 74 (Problems & Exercises)

vote with a rating of
votes with an average rating of
.
Calculator Screenshots
Video Transcript
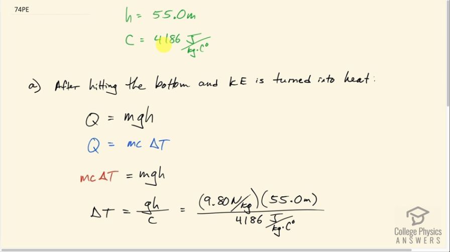
This is College Physics Answers with Shaun Dychko. Some water is falling a height of 55.0 meters over Niagara falls and the specific heat of water is 4186 joules per kilogram per Celsius degree. Now when the water hits the bottom of the waterfall, the kinetic energy that it gained, you know, due to a loss in gravitational potential energy is then gonna turned into heat and so this heat will be equal to, you know, the kinetic energy that is lost first of all but the kinetic energy that it had in the first place is due to the potential energy that it had at the top of the waterfall. So the heat that the water gains is mgh, the potential energy that it lost. This heat is also going to be the mass of the water times its specific heat times its change in temperature and so we can equate these two and say mcΔT equals mgh and then divide both sides by mc then we can find the temperature change is gh divided by c. So that's 9.80 newtons per kilogram times 55.0 meters divided by—the specific heat of water—4186 and that's 0.129 Celsius degrees. Part (b) asks us what fraction of the water needs to evaporate in order to compensate for this increasing temperature... in order to keep the temperature constant in other words? So how much water needs to evaporate to absorb all the energy that it has transferred from potential energy into heat? Okay! So we'll say that the mass evaporated multiplied by the latent heat of vaporization at 37.0 degrees because that's the figure that we have provided by the textbook which is better than the latent heat of vaporization at 100.0 degrees all of this equals the potential energy. So this is m total here, total mass, times g times the initial height. So we'll divide both sides by total mass and also divide both sides by latent heat of vaporization and we get that the fraction of mass that has to evaporate then is gh divided by the latent heat of vaporization. So that's 9.80 times 55.0 divided by 2430 times 10 to the 3 and we get 2.22 times 10 to the minus 4 is the fraction that needs to evaporate in order to keep the temperature constant.