Question
(a) Calculate the rate of heat conduction through a double-paned window that has a area and is made of two panes of 0.800-cm-thick glass separated by a 1.00-cm air gap. The inside surface temperature is , while that on the outside is . (Hint: There are identical temperature drops across the two glass panes. First find these and then the temperature drop across the air gap. This problem ignores the increased heat transfer in the air gap due to convection.) (b) Calculate the rate of heat conduction through a 1.60-cm- thick window of the same area and with the same temperatures. Compare your answer with that for part (a).
Final Answer
- . The single pane window loses heat at a rate that is 24 times that of the double pane window. The difference in the real world would be less considering convection, but would still be significant.
Solution video
OpenStax College Physics, Chapter 14, Problem 42 (Problems & Exercises)

vote with a rating of
votes with an average rating of
.
Calculator Screenshots
Video Transcript
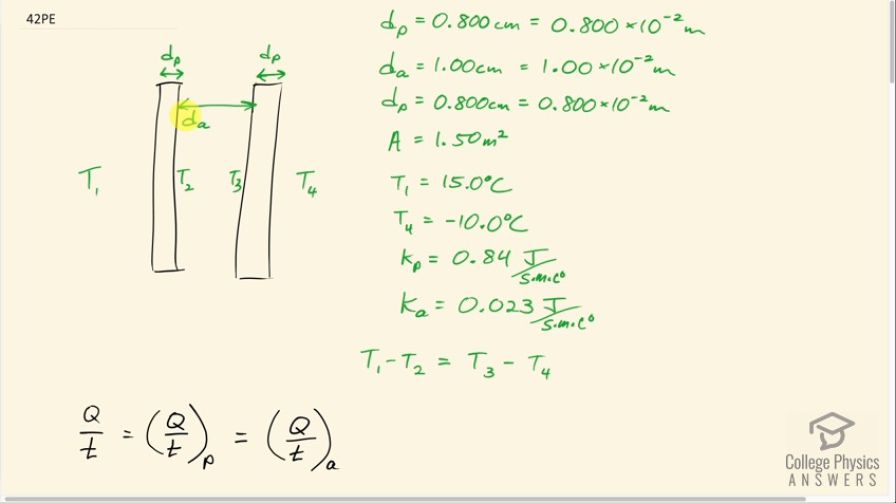
This is College Physics Answers with Shaun Dychko. So fasten your seat belt, we have a long solution coming up and you are brave and you can actually congratulate yourself for doing a challenging problem like this. Alright and I will try and make it as easy as I can and here we go! So we have this temperature inside the house of T 1 and that is 15.0 degrees Celsius and the temperature outside, T 4, is minus 10.0 degrees Celsius. This is a double pane window so there's a layer of glass here that has a thickness of 0.800 centimeters which we convert into meters and there's an air gap in between the two panes of glass with a thickness of 1.00 centimeter and then an identical pane of glass here as well. So this temperature T 2 labels the temperature just touching this inside interior portion of this first pane of glass. I am picturing the heat going this direction here so this is the first pane of glass that the heat hits and then it will go across this air gap and until it reaches some reduced temperature, T 3 here, just before this pane of glass and then it will go across this final pane of glass. And when this system is in equilibrium which is to say that when the temperature's are not changing at all that means that the rate at which heat is entering a certain position is going to equal the rate at which the heat leaves that position otherwise temperatures would change. So I mean of course there's gonna be a gradient of temperature— the temperature is changing with position clearly, it's higher here and then going lower here— but the temperature at a particular spot is gonna stay constant so this will be constantly some temperature much less than 15.0 and probably close to negative 10.0, right here and when you have that equilibrium state then you can say that the rate at which heat is going across this first pane of glass— we'll call that Q/t subscript p for pane of glass— is going to equal the rate at which the heat is traveling across this air gap so Q per t A for air gap and then again there's gonna be a rate of heat transfer across the second pane of glass but it's gonna equal the rate of heat transfer across the first pane of glass because the question tells us that the temperature difference across the second pane of glass the difference between T 3 and T 4 is the same as the difference between T 1 and T 2 and the pane's are also otherwise identical; same thickness and the same material so the same thermal conductivity and so on. Okay! So with all that in mind, let's figure out what the rate of heat transfer will be. So if we can find the rate of heat transfer for any of these three portions that will be the answer because they are all equal to each other and therefore they equal the general sort of Q versus t or Q over t for any overall. Okay! So here's the rate of heat transfer across the first pane of glass the thermal conductivity times the glass area times the temperature difference between T 1—inside the room— and T 2—just on the other side of this first pane of glass— divided by the thickness of the pane and that equals the thermal conductivity of the air multiplied by the same area there's no need for subscript here because the area of this air is gonna be the same as the glass and that is the area that's facing, you know, sort of eyeballs that are looking this way. Okay! And so multiplying by the temperature difference between the two sides of the air gap so that's T 2 minus T 3 divided by the thickness of the air gap. Now we don't know T 2 nor do we know T 3 and so we have two unknowns. Now if we could solve for one of them then we could answer this question because if we can solve for T 2 for example, we could then use this formula to get our answer if knew what T 2 was. Or likewise, well, I didn't write it down but we could also have k PA times T 3 minus T 4— this would be the rate of heat transfer across the second pane of glass— divided by d P. If we know what T 3 was then we could use this to figure out Q over t. So there's three different equations that will give us the same answer and our strategy is to figure out one of the unknown temperatures and I am gonna try and find T 3 and then we are gonna end up using this equation here. So in order to reduce the amount of writing so just for our convenience, we are gonna replace this k P over d P with a single thing called x P and likewise k a over d a is gonna be replaced by a single thing x a. So rewriting it with this new convenience factor you might say, we have x P times T 1 minus T 2 equals x a times T 2 minus T 3 where k a over d a is replaced with x a and k P over d P was replaced with x P and the areas being the same, they canceled and we are left with this. And then we'll multiply into the brackets and then I collect the T 3 term on one side because remember my goal is to figure out what is T 3. So yes, this term got moved to the left hand side making it positive and then this term went to the right hand side making it positive as well and I factored out the T 2 so T 2 is multiplied by x a plus x P and then this term got subtracted from both sides and it becomes minus x PT 1. Okay so that's equation 1, we'll call it. Now equation 2 is this idea that the temperature difference across the panes of glass are the same so T 1 minus T 2 equals T 3 minus T 4 and we can use this to solve for T 2 and then we'll make a substitution in equation 1 with T 2 and then we'll be able to solve for T 3. So if we move this to the right hand side that it makes it positive and this goes to the left making it negative and this goes to the left making it positive and then switching the sides around, we have T 2 equals T 1 minus T 3 plus T 4. So T 2 in equation 1 then gets replaced by all of this— T 1 minus T 3 plus T 4 so this is a substitution of equation 2 into equation 1. And then we multiply these two brackets together so the T 1 gets multiplied by both factors which makes a positive T 1x a and then plus x PT 1 and then the T 3 gets multiplied into both terms in the bracket and so that's a minus x aT 3 and then minus x PT 3 and then T 4 gets multiplied by both terms and that becomes plus x aT 4 and plus x PT 4 and then copy down this minus x PT 1 and copy this over here as well. So let's collect all the T 3 terms on the left side so we add x aT 3 to both sides and add x PT 3 to both sides and then the x aT 3 plus x aT 3 is 2x aT 3 and then the T 3 gets factored out what becomes two terms in total so that's gonna be T 3 times 2x a plus x P; that's on the left. Then on the right hand side, we have x aT 1 copied there; this x PT 1 cancels with this one and they make zero and then we have dealt with these two already and then this becomes T 4 (x a plus x P). And then we divide both sides by this 2x a plus x P and now we have an expression for T 3. All the things on the right hand side are things that we know: we have T 1 and T 4 and we can figure out what these factors x a and x P are. So x a is the thermal conductivity of air divided by the thickness of the air— that's what we set up here— and so we plug in numbers. 0.023 divided by 1.00 times 10 to the minus 2 makes 2.3 and x P is the thermal conductivity of the pane of glass divided by the glass thickness and that's 0.84 divided by 0.800 times 10 to the minus 2 which is 105. So temperature 3 then is 2.3 times 15.0 degrees Celsius— which is temperature 1— plus negative 10.0 degrees Celsius— which is temperature 4— times 2.3 plus 105 divided by 2 times 2.3 plus 105 so that's negative 9.47536 degrees Celsius. Now before we continue, let's make sure that number makes sense. We expect some number that is significantly less than the room temperature of positive 15.0 because we are quite a long ways away from the room here the heat has gone across the glass and has gone across the whole air gap and the only place left to go is just across this pane of glass and then it's at minus 10.0 so it should be closer to minus 10.0 than it is to positive 15.0 and it certainly is so negative 9.47536 degrees Celsius seems reasonable. I was a bit surprised that it was so close to 10.0 but I think that is a testament to how poorly insulating glass is. Okay! So the overall rate of heat transfer is the heat transfer across any portion including the last pane of glass and so we have the thermal conductivity of that pane of glass times its area times T 3—which we now know— minus T 4 all divided by the thickness of the pane of glass will be our answer. So that's 0.84 times 1.50 meters squared times negative 9.47536 degrees Celsius minus negative 10.0 degrees Celsius all divided by the pane of glass thickness of 0.800 times 10 to the minus 2 meters and that is 83 watts. So that's the rate of heat transfer across the overall window is 83 watts. Then part (b) asks us to consider what the rate of heat transfer would be across a single pane of glass that was 1.60 meters thick? So the total thickness of this double pane window is the 1.00 centimeter air gap plus the 0.800 centimeters on each side. So 1.60 is... I think they should have made a thickness of glass that's exactly the same as this whole double pane window but anyway... it's close! So we have 0.84—the thermal conductivity of the glass—times 1.50 square meters— this is the same area— times 15.0 degrees Celsius minus negative 10.0 degrees Celsius all divided by 1.60 times 10 to the minus 2 meters—thickness— and that is 2.0 times 10 to the 3 watts. And so that thick single pane window loses heat at a rate which is 24 times that of the double pane window and this calculation did not consider convection which would be to the detriment of the double pane window and so this difference would be less in the real world but nevertheless still significant.