Question
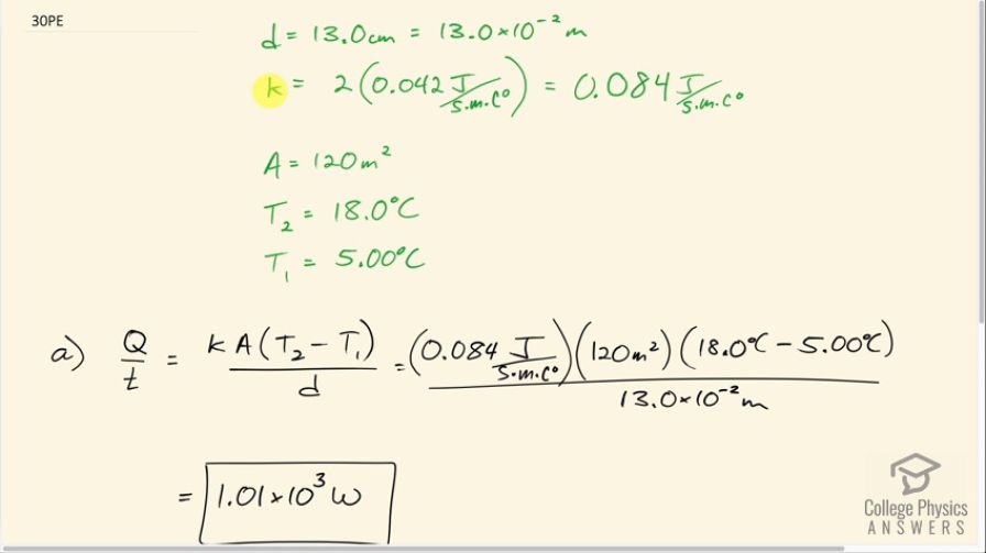
(a) Calculate the rate of heat conduction through house walls that are 13.0 cm thick and that have an average thermal conductivity twice that of glass wool. Assume there are no windows or doors. The surface area of the walls is and their inside surface is at , while their outside surface is at . (b) How many 1-kW room heaters would be needed to balance the heat transfer due to conduction?
Final Answer
- One kilowatt heater is needed to offset the rate of heat loss.
Solution video
OpenStax College Physics, Chapter 14, Problem 30 (Problems & Exercises)

vote with a rating of
votes with an average rating of
.
Calculator Screenshots
Video Transcript
This is College Physics Answers with Shaun Dychko. Walls that are 13.0 centimeters thick which is 13.0 times 10 to the minus 2 meters thick have a thermal conductivity 2 times that of glass wool which is 0.042 joules per second per meter per Celsius degree and that works out to 0.084. The walls have an area of 120 square meters and the temperature inside is 18.0 degrees Celsius and the temperature outside is 5.00 degrees Celsius. So these are all the pieces of data that we need to plug into our formula for the rate of heat transfer due to thermal conductivity. So this is the thermal conductivity here and we multiply it by the area of the wall times the temperature difference between the two sides of it divided by the thickness of the wall. So that's 0.084 times 120 square meters times 18.0 minus 5.00 divided by the thickness and that gives 1.01 times 10 to the 3 watts. This is 1 kilowatt and so there's only 1 kilowatt heater needed to offset this rate of heat loss.