Question
At what net rate does heat radiate from a black roof on a night when the roof’s temperature is and the surrounding temperature is ? The emissivity of the roof is 0.900.
Final Answer
Solution video
OpenStax College Physics, Chapter 14, Problem 55 (Problems & Exercises)

vote with a rating of
votes with an average rating of
.
Calculator Screenshots
Video Transcript
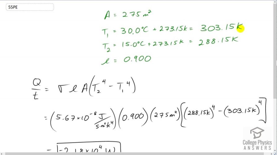
This is College Physics Answers with Shaun Dychko. The roof has an area of 275 square meters and its temperature is 303.15 Kelvin after you add 273.15 to 30 degrees Celsius. And, the temperature of the surroundings at 15 degrees Celsius converts to 288.15 Kelvin, and of course always taking care of unit conversions in this step where you're writing down the data given in order to avoid having to think about it later when you're thinking about more important things like Algebra. And, the emissivity, we're told of this dark roof, is 0.9. So, this is the rate of heat transfer to an object due to radiation and it's the Stefan Boltzmann constant times the emissivity times the area times the temperature of the surroundings to the power four minus the temperature of the object to the power of four. So, we substitute in all the numbers. That's 5.67 times ten to the minus eight Joules per second per meters squared per Kelvin to the fourth. And then, times by emissivity of 0.90 times the area of 275 square meters times 288.15 Kelvin, temperature of the surroundings, to the power four minus 303.15 Kelvin, temperature of the roof, to the power four. And, this makes negative 2.18 times ten to the four watts. And so, the roof is gaining energy at this rate but since it's negative, it means in fact it is losing heat to the surroundings which is what we expect because the temperature of the roof is higher than the surroundings are. Thus, we expect it to be losing energy and in fact it is, and we can see that from this negative sign.