Question
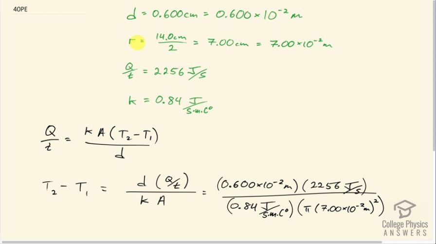
Some stove tops are smooth ceramic for easy cleaning. If the ceramic is 0.600 cm thick and heat conduction occurs through the same area and at the same rate as computed in Example 14.6, what is the temperature difference across it? Ceramic has the same thermal conductivity as glass and brick.
Note: From the example, the circular stove element has a diameter of 14.0 cm, and the rate of heat transfer is 2256 J/s.
Final Answer
Solution video
OpenStax College Physics, Chapter 14, Problem 40 (Problems & Exercises)

vote with a rating of
votes with an average rating of
.
Calculator Screenshots
Video Transcript
This is College Physics Answers with Shaun Dychko. Example 14.6 tells us that this stove element has a diameter of 14.0 centimeters which we divide by 2 in order to get the radius since we are gonna find its area by using area equals π times radius squared. So the radius is 7.00 centimeters which we convert into meters because the prefix 'centa' means times 10 to the minus 2 and the thickness of the element is 0.600 centimeters which is 0.600 times 10 to the minus 2 meters the rate of heat conduction from the element is 2256 joules per second and its thermal conductivity is 0.84. So we have this formula for the rate of heat conduction equals the thermal conductivity times the area times the temperature difference divided by the thickness of the element and we want to solve for T 2 minus T 1. So we multiply both sides by d and divide both sides by k times A and then this Q over t is just a single thing that we'll put in brackets here and so we have the temperature difference then, after we switch the sides around, is the thickness multiplied by the rate of heat conduction divided by the thermal conductivity times π times the radius squared and we get 1050 Celsius degrees is the temperature difference across the two sides of the element.