Question
Find the net rate of heat transfer by radiation from a skier standing in the shade, given the following. She is completely clothed in white (head to foot, including a ski mask), the clothes have an emissivity of 0.200 and a surface temperature of , the surroundings are at , and her surface area is .
Final Answer
Solution video
OpenStax College Physics, Chapter 14, Problem 59 (Problems & Exercises)

vote with a rating of
votes with an average rating of
.
Calculator Screenshots
Video Transcript
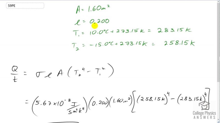
This is College Physics Answers with Shaun Dychko. We're going to find the rate of heat transfer by radiation from the skier to her surroundings. So, her clothing is white, and so the emissivity is low, that's 0.20. The total surface area is 1.6 square meters and the temperature of her body is 283.15 Kelvin. That's just on the inside of the clothes that gets at her skin surface. And then, the temperature of her surroundings is negative 15 degrees Celsius converted into Kelvin by adding 273.15, which is a temperature of 258.15 Kelvin. So, the rate of heat transfer is Stefan Boltzmann's constant multiplied by emissivity and times by the surface area multiplied by the temperature of her surroundings to the power of four minus temperature of her body to the power of four. And then, we're going to get a negative answer here because as we expect, she is going to be losing, net loss in energy per time. And so, this formula gives us the rate at which energy is gained by something and so we get a negative answer to say that it's a negative gain, which is a loss. Alright. So, we have Stefan Boltzmann's constant times emissivity times the surface area and then times by the temperature of the surroundings to the power of four minus temperature just inside her clothes on her skin surface to the power of four, and this is negative 36.0 watts.