Chapter 14

Chapter thumbnail
(a) The chilling effect of a clear breezy night is produced by the wind and by radiative heat transfer to cold outer space. (b) There was once great controversy about the Earth’s age, but it is now generally accepted to be about 4.5 billion years old. Much of the debate is centered on the Earth’s molten interior. The discovery of radioactivity in rocks revealed the source of energy that keeps the Earth’s interior molten, despite heat transfer to the surface, and from there to cold outer space.

Chapter 14 : Heat and Heat Transfer Methods - all with Video Solutions

Problems & Exercises

Section 14.2: Temperature Change and Heat Capacity

Problem 1

On a hot day, the temperature of an 80,000-L swimming pool increases by 1.50C1.50\textrm{C}^\circ. What is the net heat transfer during this heating? Ignore any complications, such as loss of water by evaporation.

View solution

Problem 2

Show that 1 cal/gC=1 kcal/kgC1 \textrm{ cal/g}\cdot\textrm{C}^\circ = 1\textrm{ kcal/kg}\cdot\textrm{C}^\circ

View solution

Problem 3

To sterilize a 50.0-g glass baby bottle, we must raise its temperature from 22.0C22.0^\circ\textrm{C} to 95.0C95.0^\circ\textrm{C}. How much heat transfer is required?

View solution

Problem 4

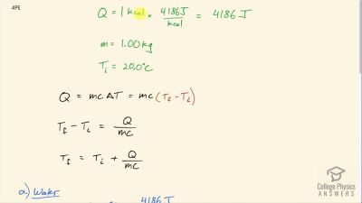
The same heat transfer into identical masses of different substances produces different temperature changes. Calculate the final temperature when 1.00 kcal of heat transfers into 1.00 kg of the following, originally at 20.0C20.0^\circ\textrm{C}: (a) water; (b) concrete; (c) steel; and (d) mercury.

View solution

Problem 5

Rubbing your hands together warms them by converting work into thermal energy. If a woman rubs her hands back and forth for a total of 20 rubs, at a distance of 7.50 cm per rub, and with an average frictional force of 40.0 N, what is the temperature increase? The mass of tissues warmed is only 0.100 kg, mostly in the palms and fingers.

View solution

Problem 6

A 0.250-kg block of a pure material is heated from 20.0C20.0^\circ\textrm{C} to 65.0C65.0^\circ\textrm{C} by the addition of 4.35 kJ of energy. Calculate its specific heat and identify the substance of which it is most likely composed.

View solution

Problem 7

Suppose identical amounts of heat transfer into different masses of copper and water, causing identical changes in temperature. What is the ratio of the mass of copper to water?

View solution

Problem 8

(a) The number of kilocalories in food is determined by calorimetry techniques in which the food is burned and the amount of heat transfer is measured. How many kilocalories per gram are there in a 5.00-g peanut if the energy from burning it is transferred to 0.500 kg of water held in a 0.100-kg aluminum cup, causing a 54.9C54.9^\circ\textrm{C} temperature increase? (b) Compare your answer to labeling information found on a package of peanuts and comment on whether the values are consistent.

View solution

Problem 9

Following vigorous exercise, the body temperature of an 80.0-kg person is 40.0C40.0^\circ\textrm{C}. At what rate in watts must the person transfer thermal energy to reduce the the body temperature to 37.0C37.0^\circ\textrm{C} in 30.0 min, assuming the body continues to produce energy at the rate of 150 W? (1 watt = 1 joule / second or 1W = 1 J/s).

View solution

Problem 10

Even when shut down after a period of normal use, a large commercial nuclear reactor transfers thermal energy at the rate of 150 MW by the radioactive decay of fission products. This heat transfer causes a rapid increase in temperature if the cooling system fails (1 watt = 1 joule/second or 1 W = 1 J/s and 1 MW = 1 megawatt) . (a) Calculate the rate of temperature increase in degrees Celsius per second (C/s\textrm{C}^\circ\textrm{/s}) if the mass of the reactor core is 1.60×105 kg1.60\times 10^{5}\textrm{ kg} kg and it has an average specific heat of 0.3349 kJ/kgo ⋅ C . (b) How long would it take to obtain a temperature increase of 2000C2000^\circ\textrm{C}, which could cause some metals holding the radioactive materials to melt? (The initial rate of temperature increase would be greater than that calculated here because the heat transfer is concentrated in a smaller mass. Later, however, the temperature increase would slow down because the 5×105 kg5\times 10^{5}\textrm{ kg} steel containment vessel would also begin to heat up.)

View solution

Section 14.3: Phase Change and Latent Heat

Problem 11

How much heat transfer (in kilocalories) is required to thaw a 0.450-kg package of frozen vegetables originally at 0C0^\circ\textrm{C} if their heat of fusion is the same as that of water?

View solution

Problem 12

A bag containing 0C0^\circ\textrm{C} ice is much more effective in absorbing energy than one containing the same amount of 0C0^\circ\textrm{C} water. a. How much heat transfer is necessary to raise the temperature of 0.800 kg of water from 0C0^\circ\textrm{C} to 30.0C30.0^\circ\textrm{C}? b. How much heat transfer is required to first melt 0.800 kg of 0C0^\circ\textrm{C} ice and then raise its temperature? c. Explain how your answer supports the contention that the ice is more effective.

View solution

Problem 13

(a) How much heat transfer is required to raise the temperature of a 0.750-kg aluminum pot containing 2.50 kg of water from 30.6C30.6^\circ\textrm{C} to the boiling point and then boil away 0.750 kg of water? (b) How long does this take if the rate of heat transfer is 500 W? 1 watt = 1 joule / second (1W = 1 J/s).

View solution

Problem 14

The formation of condensation on a glass of ice water causes the ice to melt faster than it would otherwise. If 8.00 g of condensation forms on a glass containing both water and 200 g of ice, how many grams of the ice will melt as a result? Assume no other heat transfer occurs.

View solution

Problem 15

On a trip, you notice that a 3.50-kg bag of ice lasts an average of one day in your cooler. What is the average power in watts entering the ice if it starts at 0C0^\circ\textrm{C} and completely melts to 0C0^\circ\textrm{C} water in exactly one day? 1 watt = 1 joule / second (1W = 1 J/s).

View solution

Problem 16

On a certain dry sunny day, a swimming pool’s temperature would rise by 1.50C1.50^\circ\textrm{C} if not for evaporation. What fraction of the water must evaporate to carry away precisely enough energy to keep the temperature constant?

View solution

Problem 17

(a) How much heat transfer is necessary to raise the temperature of a 0.200-kg piece of ice from 20.0C-20.0^\circ\textrm{C} to 130C130^\circ\textrm{C}, including the energy needed for phase changes? (b) How much time is required for each stage, assuming a constant 20.0 kJ/s rate of heat transfer? (c) Make a graph of temperature versus time for this process.

View solution

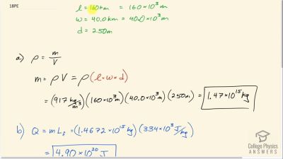
Problem 18

In 1986, a gargantuan iceberg broke away from the Ross Ice Shelf in Antarctica. It was approximately a rectangle 160 km long, 40.0 km wide, and 250 m thick. (a) What is the mass of this iceberg, given that the density of ice is 917 kg/m3917\textrm{ kg/m}^3 ? (b) How much heat transfer (in joules) is needed to melt it? (c) How many years would it take sunlight alone to melt ice this thick, if the ice absorbs an average of 100 W/m2100\textrm{ W/m}^2, 12.00 h per day?

View solution

Problem 19

How many grams of coffee must evaporate from 350 g of coffee in a 100-g glass cup to cool the coffee from 95.0C95.0^\circ\textrm{C} to 45.0C45.0^\circ\textrm{C}? You may assume the coffee has the same thermal properties as water and that the average heat of vaporization is 2340 kJ/kg (560 cal/g). (You may neglect the change in mass of the coffee as it cools, which will give you an answer that is slightly larger than correct.)

View solution

Problem 20

(a) It is difficult to extinguish a fire on a crude oil tanker, because each liter of crude oil releases 2.80×107 J2.80\times 10^{7}\textrm{ J} of energy when burned. To illustrate this difficulty, calculate the number of liters of water that must be expended to absorb the energy released by burning 1.00 L of crude oil, if the water has its temperature raised from 20.0C20.0^\circ\textrm{C} to 100C100^\circ\textrm{C} , it boils, and the resulting steam is raised to 300C300^\circ\textrm{C} . (b) Discuss additional complications caused by the fact that crude oil has a smaller density than water.

View solution

Problem 21

The energy released from condensation in thunderstorms can be very large. Calculate the energy released into the atmosphere for a small storm of radius 1 km, assuming that 1.0 cm of rain is precipitated uniformly over this area.

View solution

Problem 22

To help prevent frost damage, 4.00 kg of 0C0^\circ\textrm{C} water is sprayed onto a fruit tree. (a) How much heat transfer occurs as the water freezes? (b) How much would the temperature of the 200-kg tree decrease if this amount of heat transferred from the tree? Take the specific heat to be 3.35 kJ/kgC3.35\textrm{ kJ/kg}\cdot\textrm{C}^\circ, and assume that no phase change occurs.

View solution

Problem 23

A 0.250-kg aluminum bowl holding 0.800 kg of soup at 25.0C25.0^\circ\textrm{C} is placed in a freezer. What is the final temperature if 377 kJ of energy is transferred from the bowl and soup, assuming the soup’s thermal properties are the same as that of water? Explicitly show how you follow the steps in Problem-Solving Strategies for the Effects of Heat Transfer.

View solution

Problem 24

A 0.0500-kg ice cube at 30.0C-30.0^\circ\textrm{C} is placed in 0.400 kg of 35.0C35.0^\circ\textrm{C} water in a very well-insulated container. What is the final temperature?

View solution

Problem 25

If you pour 0.0100 kg of 20.0C20.0 ^\circ\textrm{C} water onto a 1.20-kg block of ice (which is initially at 15.0C-15.0^\circ\textrm{C}), what is the final temperature? You may assume that the water cools so rapidly that effects of the surroundings are negligible.

View solution

Problem 26

Indigenous people sometimes cook in watertight baskets by placing hot rocks into water to bring it to a boil. What mass of 500C500^\circ\textrm{C} rock must be placed in 4.00 kg of 15.0C15.0^\circ\textrm{C} water to bring its temperature to 100C100^\circ\textrm{C}, if 0.0250 kg of water escapes as vapor from the initial sizzle? You may neglect the effects of the surroundings and take the average specific heat of the rocks to be that of granite.

View solution

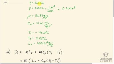
Problem 28

In some countries, liquid nitrogen is used on dairy trucks instead of mechanical refrigerators. A 3.00-hour delivery trip requires 200 L of liquid nitrogen, which has a density of 808 kg/m3808\textrm{ kg/m}^3. (a) Calculate the heat transfer necessary to evaporate this amount of liquid nitrogen and raise its temperature to 3.00C3.00^\circ\textrm{C} . (Use cpc_p and assume it is constant over the temperature range.) This value is the amount of cooling the liquid nitrogen supplies. (b) What is this heat transfer rate in kilowatt-hours? (c) Compare the amount of cooling obtained from melting an identical mass of 0C0^\circ\textrm{C} ice with that from evaporating the liquid nitrogen.

View solution

Problem 29

Some gun fanciers make their own bullets, which involves melting and casting the lead slugs. How much heat transfer is needed to raise the temperature and melt 0.500 kg of lead, starting from 25.0]C25.0]^\circ\textrm{C}?

View solution

Section 14.5: Conduction

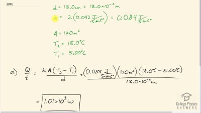
Problem 30

(a) Calculate the rate of heat conduction through house walls that are 13.0 cm thick and that have an average thermal conductivity twice that of glass wool. Assume there are no windows or doors. The surface area of the walls is 120 m2120\textrm{ m}^2 and their inside surface is at 18.0C18.0^\circ\textrm{C}, while their outside surface is at 5.00C5.00^\circ\textrm{C} . (b) How many 1-kW room heaters would be needed to balance the heat transfer due to conduction?

View solution

Problem 31

The rate of heat conduction out of a window on a winter day is rapid enough to chill the air next to it. To see just how rapidly the windows transfer heat by conduction, calculate the rate of conduction in watts through a 3.00 m23.00 \textrm{ m}^2 window that is 0.635 cm thick (1/4 in) if the temperatures of the inner and outer surfaces are 5.00C5.00^\circ\textrm{C} and 10.0C-10.0^\circ\textrm{C}, respectively. This rapid rate will not be maintained—the inner surface will cool, and even result in frost formation.

View solution

Problem 32

Calculate the rate of heat conduction out of the human body, assuming that the core internal temperature is 37.0textrmC37.0^\circ\\textrm{C}, the skin temperature is 34.0C34.0^\circ\textrm{C}, the thickness of the tissues between averages 1.00 cm , and the surface area is 1.40 m21.40\textrm{ m}^2 .

View solution

Problem 33

Suppose you stand with one foot on ceramic flooring and one foot on a wool carpet, making contact over an area of 80.0 cm280.0 \textrm{ cm}^2 with each foot. Both the ceramic and the carpet are 2.00 cm thick and are 10.0C10.0^\circ\textrm{C} on their bottom sides. At what rate must heat transfer occur from each foot to keep the top of the ceramic and carpet at 33.0C33.0^\circ\textrm{C}?

View solution

Problem 34

A man consumes 3000 kcal of food in one day, converting most of it to maintain body temperature. If he loses half this energy by evaporating water (through breathing and sweating), how many kilograms of water evaporate?

View solution

Problem 35

  1. A firewalker runs across a bed of hot coals without sustaining burns. Calculate the heat transferred by conduction into the sole of one foot of a firewalker given that the bottom of the foot is a 3.00-mm-thick callus with a conductivity at the low end of the range for wood and its density is 300 kg/m3300 \textrm{ kg/m}^3. The area of contact is 25.0 cm225.0 \textrm{ cm}^2, the temperature of the coals is 700C700 ^\circ\textrm{C}, and the time in contact is 1.00 s.
  2. What temperature increase is produced in the 25.0 cm325.0 \textrm{ cm}^3 of tissue affected?
  3. What effect do you think this will have on the tissue, keeping in mind that a callus is made of dead cells?

View solution

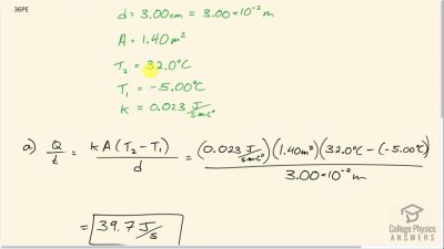
Problem 36

(a) What is the rate of heat conduction through the 3.00-cm-thick fur of a large animal having a 1.40 m21.40\textrm{ m}^2 surface area? Assume that the animal’s skin temperature is 32.0C32.0^\circ\textrm{C} , that the air temperature is 5.00C-5.00^\circ\textrm{C} , and that fur has the same thermal conductivity as air. (b) What food intake will the animal need in one day to replace this heat transfer?

View solution

Problem 37

A walrus transfers energy by conduction through its blubber at the rate of 150 W when immersed in 1.00C-1.00 ^\circ\textrm{C} water. The walrus’s internal core temperature is 37.0C37.0^\circ\textrm{C}, and it has a surface area of 2.00 m22.00 \textrm{ m}^2. What is the average thickness of its blubber, which has the conductivity of fatty tissues without blood?

View solution

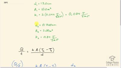
Problem 38

Compare the rate of heat conduction through a 13.0-cm- thick wall that has an area of 10.0 m210.0\textrm{ m}^2 and a thermal conductivity twice that of glass wool with the rate of heat conduction through a window that is 0.750 cm thick and that has an area of 2.00 m22.00\textrm{ m}^2, assuming the same temperature difference across each.

View solution

Problem 39

Suppose a person is covered head to foot by wool clothing with average thickness of 2.00 cm and is transferring energy by conduction through the clothing at the rate of 50.0 W. What is the temperature difference across the clothing, given the surface area is 1.40 m21.40 \textrm{ m}^2?

View solution

Problem 40

Some stove tops are smooth ceramic for easy cleaning. If the ceramic is 0.600 cm thick and heat conduction occurs through the same area and at the same rate as computed in Example 14.6, what is the temperature difference across it? Ceramic has the same thermal conductivity as glass and brick. Note: From the example, the circular stove element has a diameter of 14.0 cm, and the rate of heat transfer is 2256 J/s.

View solution

Problem 41

One easy way to reduce heating (and cooling) costs is to add extra insulation in the attic of a house. Suppose the house already had 15 cm of fiberglass insulation in the attic and in all the exterior surfaces. If you added an extra 8.0 cm of fiberglass to the attic, then by what percentage would the heating cost of the house drop? Take the single story house to be of dimensions 10 m by 15 m by 3.0 m. Ignore air infiltration and heat loss through windows and doors.

View solution

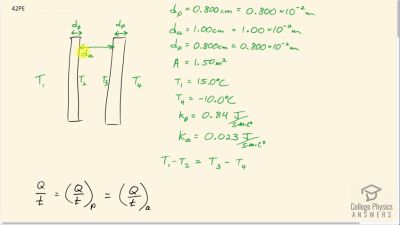
Problem 42

(a) Calculate the rate of heat conduction through a double-paned window that has a 1.50 m21.50\textrm{ m}^2 area and is made of two panes of 0.800-cm-thick glass separated by a 1.00-cm air gap. The inside surface temperature is 15.0C15.0^\circ\textrm{C} , while that on the outside is 10.0C-10.0^\circ\textrm{C}. (Hint: There are identical temperature drops across the two glass panes. First find these and then the temperature drop across the air gap. This problem ignores the increased heat transfer in the air gap due to convection.) (b) Calculate the rate of heat conduction through a 1.60-cm- thick window of the same area and with the same temperatures. Compare your answer with that for part (a).

View solution

Problem 43

Many decisions are made on the basis of the payback period: the time it will take through savings to equal the capital cost of an investment. Acceptable payback times depend upon the business or philosophy one has. (For some industries, a payback period is as small as two years.) Suppose you wish to install the extra insulation in Exercise 14.41. If energy cost \1.00permillionjoulesandtheinsulationwas$4.00persquaremeter,thencalculatethesimplepaybacktime.Taketheaverage1.00 per million joules and the insulation was \$4.00 per square meter, then calculate the simple payback time. Take the average \Delta Tforthe120dayheatingseasontobe for the 120 day heating season to be 15.0\textrm{C}^\circ$.

View solution

Problem 44

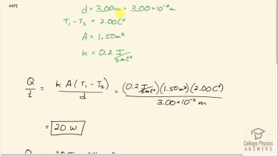
For the human body, what is the rate of heat transfer by conduction through the body’s tissue with the following conditions: the tissue thickness is 3.00 cm, the change in temperature is 2.00 C2.00\textrm{ C}^\circ , and the skin area is 1.50 m21.50\textrm{ m}^2 . How does this compare with the average heat transfer rate to the body resulting from an energy intake of about 2400 kcal per day? (No exercise is included.)

View solution

Section 14.6: Convection

Problem 45

At what wind speed does 10C-10^\circ\textrm{C} air cause the same chill factor as still air at 29C-29^\circ\textrm{C}?

View solution

Problem 47

The “steam” above a freshly made cup of instant coffee is really water vapor droplets condensing after evaporating from the hot coffee. What is the final temperature of 250 g of hot coffee initially at 90.0C90.0^\circ\textrm{C} if 2.00 g evaporates from it? The coffee is in a Styrofoam cup, so other methods of heat transfer can be neglected.

View solution

Problem 48

(a) How many kilograms of water must evaporate from a 60.0-kg woman to lower her body temperature by 0.750C0.750^\circ\textrm{C}? (b) Is this a reasonable amount of water to evaporate in the form of perspiration, assuming the relative humidity of the surrounding air is low?

View solution

Problem 49

On a hot dry day, evaporation from a lake has just enough heat transfer to balance the 1.00 kW/m21.00 \textrm{ kW/m}^2 of incoming heat from the Sun. What mass of water evaporates in 1.00 h from each square meter? Explicitly show how you follow the steps in the Problem-Solving Strategies for the Methods of Heat Transfer.

View solution

Problem 50

One winter day, the climate control system of a large university classroom building malfunctions. As a result, 500 m3500\textrm{ m}^3 of excess cold air is brought in each minute. At what rate in kilowatts must heat transfer occur to warm this air by 10.0C10.0^\circ\textrm{C} (that is, to bring the air to room temperature)?

View solution

Problem 51

The Kilauea volcano in Hawaii is the world’s most active, disgorging about 5×105 m35 \times 10^5 \textrm{ m}^3 of 1200C1200 ^\circ\textrm{C} lava per day. What is the rate of heat transfer out of Earth by convection if this lava has a density of 2700 kg/m32700 \textrm{ kg/m}^3 and eventually cools to 30C30^\circ\textrm{C}? Assume that the specific heat of lava is the same as that of granite.

View solution

Problem 52

During heavy exercise, the body pumps 2.00 L of blood per minute to the surface, where it is cooled by 2.00C2.00\textrm{C}^\circ. What is the rate of heat transfer from this forced convection alone, assuming blood has the same specific heat as water and its density is 1050 kg/m31050\textrm{ kg/m}^3 ?

View solution

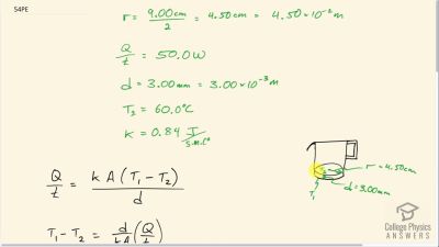
Problem 54

A glass coffee pot has a circular bottom with a 9.00-cm diameter in contact with a heating element that keeps the coffee warm with a continuous heat transfer rate of 50.0 W (a) What is the temperature of the bottom of the pot, if it is 3.00 mm thick and the inside temperature is 60.0C60.0^\circ\textrm{C} ? (b) If the temperature of the coffee remains constant and all of the heat transfer is removed by evaporation, how many grams per minute evaporate? Take the heat of vaporization to be 2340 kJ/kg.

View solution

Section 14.7: Radiation

Problem 55

At what net rate does heat radiate from a 275 m2275 \textrm{ m}^2 black roof on a night when the roof’s temperature is 30.0C30.0 ^\circ\textrm{C} and the surrounding temperature is 15.0C15.0 ^\circ\textrm{C}? The emissivity of the roof is 0.900.

View solution

Problem 56

(a) Cherry-red embers in a fireplace are at 850C850^\circ\textrm{C} and have an exposed area of 0.200 m2 and an emissivity of 0.980. The surrounding room has a temperature of 18.0C18.0^\circ\textrm{C}. If 50% of the radiant energy enters the room, what is the net rate of radiant heat transfer in kilowatts? (b) Does your answer support the contention that most of the heat transfer into a room by a fireplace comes from infrared radiation?

View solution

Problem 57

Radiation makes it impossible to stand close to a hot lava flow. Calculate the rate of heat transfer by radiation from 1.00 m21.00 \textrm{ m}^2 of 1200C1200 ^\circ\textrm{C} fresh lava into 30.0C30.0^\circ\textrm{C} surroundings, assuming lava’s emissivity is 1.00.

View solution

Problem 58

(a) Calculate the rate of heat transfer by radiation from a car radiator at 110C110^\circ\textrm{C} into a 50.0C50.0^\circ\textrm{C} environment, if the radiator has an emissivity of 0.750 and a 1.20 m21.20\textrm{ m}^2 surface area. (b) Is this a significant fraction of the heat transfer by an automobile engine? To answer this, assume a horsepower of 200 hp and the efficiency of automobile engines as 25%.

View solution

Problem 59

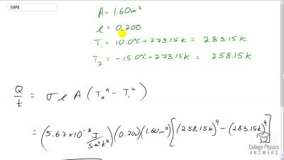
Find the net rate of heat transfer by radiation from a skier standing in the shade, given the following. She is completely clothed in white (head to foot, including a ski mask), the clothes have an emissivity of 0.200 and a surface temperature of 10.0C10.0^\circ\textrm{C}, the surroundings are at 15.0C-15.0^\circ\textrm{C}, and her surface area is 1.60 m21.60 \textrm{ m}^2.

View solution

Problem 60

Suppose you walk into a sauna that has an ambient temperature of 50.0C50.0^\circ\textrm{C}. (a) Calculate the rate of heat transfer to you by radiation given your skin temperature is 37.0C37.0^\circ\textrm{C}, the emissivity of skin is 0.98, and the surface area of your body is 1.50 m21.50\textrm{ m}^2. (b) If all other forms of heat transfer are balanced (the net heat transfer is zero), at what rate will your body temperature increase if your mass is 75.0 kg?

View solution

Problem 61

Thermography is a technique for measuring radiant heat and detecting variations in surface temperatures that may be medically, environmentally, or militarily meaningful.(a) What is the percent increase in the rate of heat transfer by radiation from a given area at a temperature of 34.0C34.0^\circ\textrm{C} compared with that at 33.0C33.0^\circ\textrm{C}, such as on a person’s skin? (b) What is the percent increase in the rate of heat transfer by radiation from a given area at a temperature of 34.0C34.0^\circ\textrm{C} compared with that at 20.0C20.0^\circ\textrm{C}, such as for warm and cool automobile hoods?

View solution

Problem 62

The Sun radiates like a perfect black body with an emissivity of exactly 1. (a) Calculate the surface temperature of the Sun, given that it is a sphere with a 7.00×108 m7.00\times 10^{8}\textrm{ m} radius that radiates 3.80×1026 W3.80\times 10^{26}\textrm{ W} into 3-K space. (b) How much power does the Sun radiate per square meter of its surface? (c) How much power in watts per square meter is that value at the distance of Earth, 1.50×1011 m1.50\times 10^{11}\textrm{ m} away? (This number is called the solar constant.)

View solution

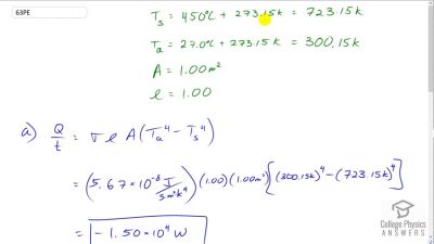
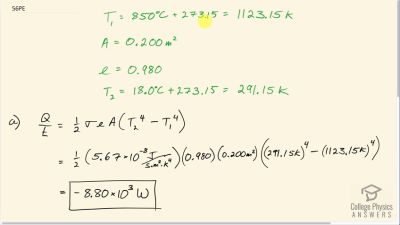
Problem 63

A large body of lava from a volcano has stopped flowing and is slowly cooling. The interior of the lava is at 1200C1200^\circ\textrm{C}, its surface is at 450C450^\circ\textrm{C} , and the surroundings are at 27.0C27.0^\circ\textrm{C}.
  1. Calculate the rate at which energy is transferred by radiation from 1.00 m21.00 \textrm{ m}^2 of surface lava into the surroundings, assuming the emissivity is 1.00.
  2. Suppose heat conduction to the surface occurs at the same rate. What is the thickness of the lava between the 450C450^\circ\textrm{C} surface and the 1200C1200 ^\circ\textrm{C} interior, assuming that the lava’s conductivity is the same as that of brick?

View solution

Problem 64

Calculate the temperature the entire sky would have to be in order to transfer energy by radiation at 100 W/m2100\textrm{ W/m}^2 — about the rate at which the Sun radiates when it is directly overhead on a clear day. This value is the effective temperature of the sky, a kind of average that takes account of the fact that the Sun occupies only a small part of the sky but is much hotter than the rest. Assume that the body receiving the energy has a temperature of 27.0C27.0^\circ\textrm{C}.

View solution

Problem 65

  1. A shirtless rider under a circus tent feels the heat radiating from the sunlit portion of the tent. Calculate the temperature of the tent canvas based on the following information: The shirtless rider’s skin temperature is 34.0C34.0^\circ\textrm{C} and has an emissivity of 0.970. The exposed area of skin is 0.400 m20.400 \textrm{ m}^2. He receives radiation at the rate of 20.0 W—half what you would calculate if the entire region behind him was hot. The rest of the surroundings are at 34.0C34.0^\circ\textrm{C}.
  2. Discuss how this situation would change if the sunlit side of the tent was nearly pure white and if the rider was covered by a white tunic.

View solution

Problem 66

One 30.0C30.0^\circ\textrm{C} day the relative humidity is 75.0% , and that evening the temperature drops to 20.0C20.0^\circ\textrm{C}, well below the dew point. (a) How many grams of water condense from each cubic meter of air? (b) How much heat transfer occurs by this condensation? (c) What temperature increase could this cause in dry air?

View solution

Problem 67

Large meteors sometimes strike the Earth, converting most of their kinetic energy into thermal energy.
  1. What is the kinetic energy of a 109 kg10^9 \textrm{ kg} meteor moving at 25.0 km/s?
  2. If this meteor lands in a deep ocean and 80% of its kinetic energy goes into heating water, how many kilograms of water could it raise by 5.0C5.0\textrm{C}^\circ
  3. Discuss how the energy of the meteor is more likely to be deposited in the ocean and the likely effects of that energy.

View solution

Problem 68

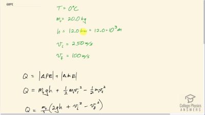
Frozen waste from airplane toilets has sometimes been accidentally ejected at high altitude. Ordinarily it breaks up and disperses over a large area, but sometimes it holds together and strikes the ground. Calculate the mass of 0C0^\circ\textrm{C} ice that can be melted by the conversion of kinetic and gravitational potential energy when a 20.0 kg piece of frozen waste is released at 12.0 km altitude while moving at 250 m/s and strikes the ground at 100 m/s (since less than 20.0 kg melts, a significant mess results).

View solution

Problem 69

  1. A large electrical power facility produces 1600 MW of “waste heat,” which is dissipated to the environment in cooling towers by warming air flowing through the towers by 5.00C5.00 ^\circ\textrm{C}. What is the necessary flow rate of air in m3/s\textrm{m}^3\textrm{/s}?
  2. Is your result consistent with the large cooling towers used by many large electrical power plants?

View solution

Problem 70

(a) Suppose you start a workout on a Stairmaster, producing power at the same rate as climbing 116 stairs per minute. Assuming your mass is 76.0 kg and your efficiency is 20.0% , how long will it take for your body temperature to rise 1.00C1.00\textrm{C}^\circ if all other forms of heat transfer in and out of your body are balanced? (b) Is this consistent with your experience in getting warm while exercising?

View solution

Problem 71

A 76.0-kg person suffering from hypothermia comes indoors and shivers vigorously. How long does it take the heat transfer to increase the person’s body temperature by 2.00C2.00 ^\circ\textrm{C} if all other forms of heat transfer are balanced?

View solution

Problem 72

In certain large geographic regions, the underlying rock is hot. Wells can be drilled and water circulated through the rock for heat transfer for the generation of electricity. (a) Calculate the heat transfer that can be extracted by cooling 1.00 km31.00\textrm{ km}^3 of granite by 100C100\textrm{C}^\circ . (b) How long will this take if heat is transferred at a rate of 300 MW, assuming no heat transfers back into the 1.00 km of rock by its surroundings?

View solution

Problem 73

Heat transfers from your lungs and breathing passages by evaporating water. (a) Calculate the maximum number of grams of water that can be evaporated when you inhale 1.50 L of 37C37^\circ\textrm{C} air with an original relative humidity of 40.0%. (Assume that body temperature is also 37C37^\circ\textrm{C} .) (b) How many joules of energy are required to evaporate this amount? (c) What is the rate of heat transfer in watts from this method, if you breathe at a normal resting rate of 10.0 breaths per minute?

View solution

Problem 74

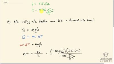
(a) What is the temperature increase of water falling 55.0 m over Niagara Falls? (b) What fraction must evaporate to keep the temperature constant?

View solution

Problem 75

Hot air rises because it has expanded. It then displaces a greater volume of cold air, which increases the buoyant force on it.
  1. Calculate the ratio of the buoyant force to the weight of 50.0C50.0^\circ\textrm{C} air surrounded by 20.0C20.0^\circ\textrm{C} air.
  2. What energy is needed to cause 1.00 m31.00 \textrm{ m}^3 of air to go from 20.0C20.0^\circ\textrm{C} to 50.0C50.0^\circ\textrm{C}?
  3. What gravitational potential energy is gained by this volume of air if it rises 1.00 m? Will this cause a significant cooling of the air?

View solution

Problem 76

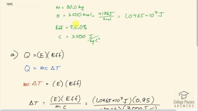
(a) What is the temperature increase of an 80.0 kg person who consumes 2500 kcal of food in one day with 95.0% of the energy transferred as heat to the body? (b) What is unreasonable about this result? (c) Which premise or assumption is responsible?

View solution

Problem 77

A slightly deranged Arctic inventor surrounded by ice thinks it would be much less mechanically complex to cool a car engine by melting ice on it than by having a water-cooled system with a radiator, water pump, antifreeze, and so on.
  1. If 80.0% of the energy in 1.00 gal of gasoline is converted into “waste heat” in a car engine, how many kilograms of 0C0^\circ\textrm{C} ice could it melt?
  2. Is this a reasonable amount of ice to carry around to cool the engine for 1.00 gal of gasoline consumption?
  3. What premises or assumptions are unreasonable?

View solution

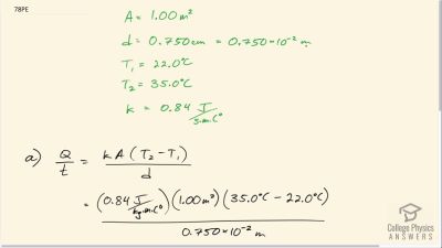
Problem 78

(a) Calculate the rate of heat transfer by conduction through a window with an area of 1.00 m21.00\textrm{ m}^2 that is 0.750 cm thick, if its inner surface is at 22.0C22.0^\circ\textrm{C} and its outer surface is at 35.0C35.0^\circ\textrm{C} . (b) What is unreasonable about this result? (c) Which premise or assumption is responsible?

View solution

Problem 79

A meteorite 1.20 cm in diameter is so hot immediately after penetrating the atmosphere that it radiates 20.0 kW of power. (a) What is its temperature, if the surroundings are at 20.0C20.0^\circ\textrm{C} and it has an emissivity of 0.800? (b) What is unreasonable about this result? (c) Which premise or assumption is responsible?

View solution