Question
Calculate the temperature the entire sky would have to be in order to transfer energy by radiation at — about the rate at which the Sun radiates when it is directly overhead on a clear day. This value is the effective temperature of the sky, a kind of average that takes account of the fact that the Sun occupies only a small part of the sky but is much hotter than the rest. Assume that the body receiving the energy has a temperature of .
Final Answer
Solution video
OpenStax College Physics, Chapter 14, Problem 64 (Problems & Exercises)

vote with a rating of
votes with an average rating of
.
Calculator Screenshots
Video Transcript
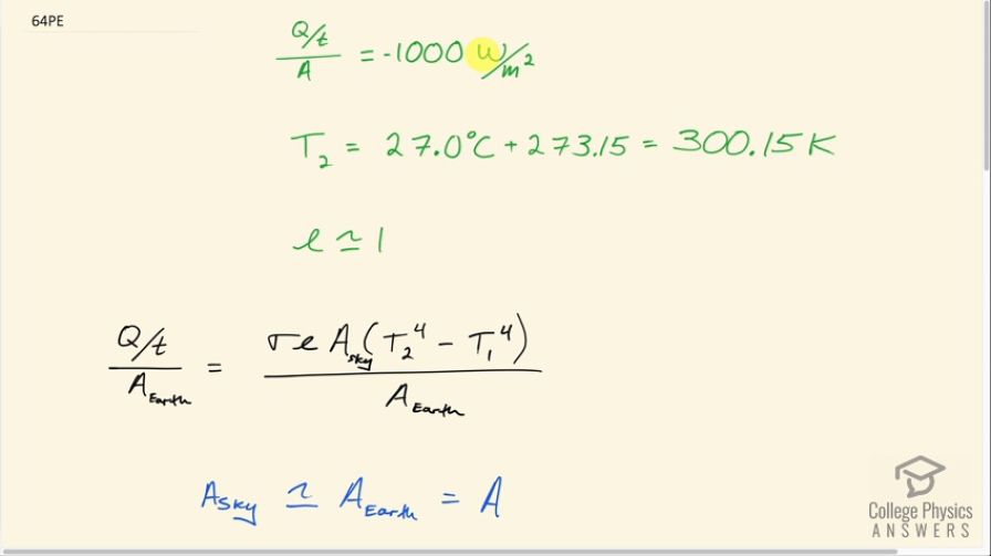
This is College Physics Answers with Shaun Dychko. The Earth gets about 1000 watts of power per square meter from the Sun but in this question, we are going to suppose there is no Sun and that the same flux—which is the word to describe this power per area— the same flux comes from the sky and what temperature would the sky hypothetically need in order to provide this same flux? So this is the flux from the sky—negative 1000 watts per square meter— and I put the negative there to say that the sky is losing this power per square meter and losing it to the Earth. The Earth has a temperature of 27.0 degrees Celsius which we convert into Kelvin by adding 273.15 and we have to make an assumption about the emissivity of the sky and we'll assume it's 1. So this rate of heat transfer per area is Stefan–Boltzmann's constant times emissivity times the area of the sky times the temperature of the surroundings, which is the Earth, to the power of 4 minus the temperature of the sky to the power of 4. Now of course the sky is going to be emitting also to space but we are just ignoring that; we are just pretending that all the radiation from the sky is going towards the Earth. Okay! And this is the rate of heat transfer due to radiation and we are dividing that by the area. And we are gonna assume that the area of the sky and the area of the Earth are pretty much the same because you know if we were to draw the Earth and then draw to scale the sky on top of the Earth... I mean it would be like just a little I am probably making this way too far from the Earth really the second line represents the sky and so the radius to the sky is pretty much the same as the radius to the Earth. Okay! So that means the area of the spherical shell made by each is the same; we'll just call it A with no subscript. So that means these cancel and we'll just call this A and we'll use the radius of the Earth there to find this area. Okay... although we don't actually have to because we are given the power per area, which is negative 1000 watts per square meter so we don't have to do any calculations with the radius. Okay! So our job is to find T 1 so let's get there by dividing both sides by σ times e and keeping all of this just as a single thing because this represents one number which is negative of a 1000 watts per square meter so that's a thing being divided by σ times e and I like to multiply by 1 over that instead of having this big fraction divided by another fraction. And then we are gonna solve for T 1... let's get T 1 to the power of 4 first of all. We'll add it to both sides and then we'll subtract this from both sides well we move it to the other side, in other words, and we'll be left with T 1 to the power of 4 on one side and we are gonna flip those sides around of course. So we have T 1 to the power of 4 equals T 2 to the power of 4 minus all this stuff. Then to solve for T 1, raise both sides to the power one quarter so that's T 1 equals T 2 to the power of 4 minus this flux times 1 over σ times emissivity and that's all to the power of one quarter. So that's 300.15 Kelvin to the power of 4 minus negative of a 1000 watts per square meter times 1 over 5.67 times 10 to the minus 8 times 1 for emissivity, all to the power of one quarter, which is 400.5917 Kelvin and to be able to relate to this temperature a bit better, let's turn it into degrees Celsius since that's what we are usually talking about in everyday life. So we'll subtract 273.15 and we get 127 degrees Celsius. So in order for the same radiative flux to impinge upon the Earth's surface just from the sky, the sky would have to have a temperature greater than the boiling point of water and so it shows how hot the Sun is for the Sun to be just this point that appears in the sky for, you know, half the day and it provides so much flux such that having a mass of sky radiating 24 hours a day would require this high temperature in order to give the same flux.