Question
During heavy exercise, the body pumps 2.00 L of blood per minute to the surface, where it is cooled by . What is the rate of heat transfer from this forced convection alone, assuming blood has the same specific heat as water and its density is ?
Final Answer
Solution video
OpenStax College Physics, Chapter 14, Problem 52 (Problems & Exercises)

vote with a rating of
votes with an average rating of
.
Calculator Screenshots
Video Transcript
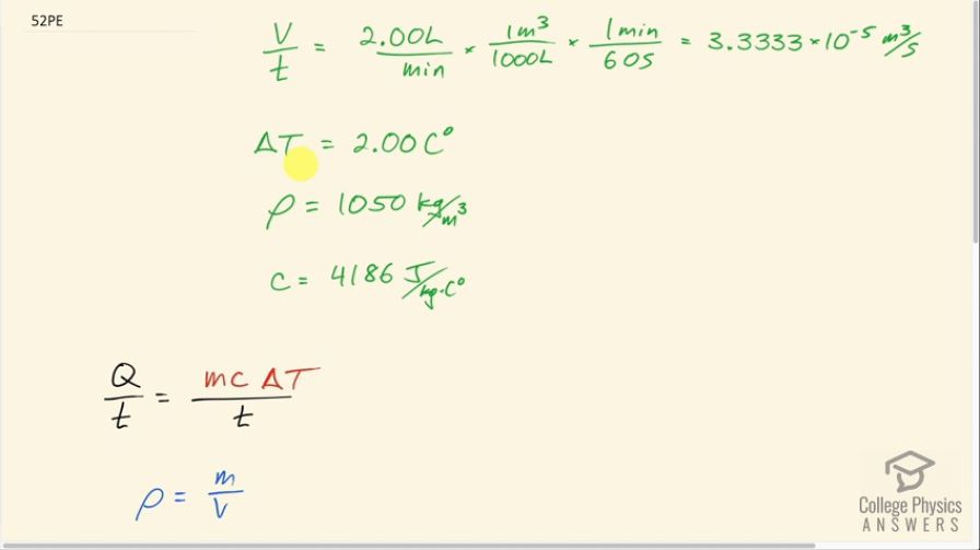
This is College Physics Answers with Shaun Dychko. During heavy exercise, the body pumps 2 liters of blood per minute to the surface of the skin and the blood is in contact with the cool air surrounding the skin and cools by 2.00 Celsius degrees; the density of blood is 1050 kilograms per cubic meter and it has the specific heat of water and I convert the units as we usually do when we write things down at this beginning stage of collecting information that we know. I am gonna convert the units into mks units— meters, kilograms and seconds. So 2.00 liters per minute is multiplied by 1 cubic meter for every 1000 liters and that gives us cubic meters per minute and then we multiply by 1 minute for every 60 seconds and now we have cubic meters per second and that's 3.3333 times 10 to the minus 5 cubic meters per second. Okay! So the question is what is the rate of heat transfer out of the blood? So this is the amount of heat and dividing it by time gives us the rate of heat transfer. And so the amount of heat energy is the mass of blood times its specific heat times the change in temperature and we are gonna replace the mass with an expression in terms of volume because we know the density is mass divided by volume and we can multiply both sides by V to get density times volume and then we replace m here with ρV. And we see that this volume is being divided by the time and so rewriting it in a way that clarifies that a little bit that the volume can be divided by the time and we can think of it as a single number which we are given 3.3333 times 10 to the minus 5 cubic meters per second. So that rate of volume brought to the surface of the skin is multiplied by the density of the blood times the specific heat of the blood or of the water and then times 2.00 Celsius degrees— change in temperature— gives us 293 watts is the rate of heat transfer from the blood.