Question
On a hot dry day, evaporation from a lake has just enough heat transfer to balance the of incoming heat from the Sun. What mass of water evaporates in 1.00 h from each square meter? Explicitly show how you follow the steps in the Problem-Solving Strategies for the Methods of Heat Transfer.
Final Answer
Solution video
OpenStax College Physics, Chapter 14, Problem 49 (Problems & Exercises)

vote with a rating of
votes with an average rating of
.
Calculator Screenshots
Video Transcript
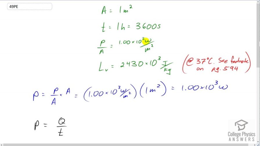
This is College Physics Answers with Shaun Dychko. So, a lake is receiving 1 times 10 to the 3 watts in every square meter from the sun so that’s the rate at which energy is being deposited in the lake for every square meter, that’s sometimes called the flux and we are going to consider 1 square meter of that lake and we are asked to figure out how much water evaporates in order to compensate for this rate of energy being received. So, when the water evaporates, it's going to be taking away some of the energy due to the latent heat of vaporization of that water. So, latent heat of vaporization for water at 37 degree Celsius is 2430 times 10 to the 3 joules per kilogram. This is not the value that you will find in your data table because the data table has the latent heat of vaporization at the temperature of boiling for the material. So, this latent heat of vaporization is temperature dependent and the phase change does happen at temperatures below boiling and we call this evaporation instead of boiling. So, we have the power or the rate at which the heat is being transformed or moving is the amount of heat divided by time and we will solve this for Q by multiplying both sides by t and so Q is power times time and Q is also mass times the latent heat of vaporization and this is the amount of mass that is evaporating and the power that we are concerned with is the flux which is the power per area multiplied by the area of interest which we are told is only 1 square meter so this is 1 times 10 to the 3 watts that we have to dissipate through evaporation. Since, Q equals power times time and Q is also mass times latent heat of vaporization, we can equate these two things and substitute m L v in place of Q here which I have drawn in red and then we will divide both sides by L v and we solve for the mass. So, that’s 1 kilowatt or 1 times 10 to the 3 watts multiplied by the time of 3600 seconds and this is because we are told, you know, how much evaporation occurs over a period of 1 hour and so that’s 3600 seconds in an hour and we divide by the latent heat of vaporization for water at 37 degrees Celsius and we get 1.48 kilograms is the mass that has to evaporate in order to dissipate the amount of energy being received from the sun.