Question
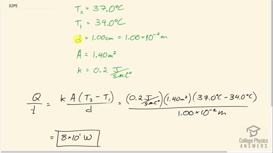
Calculate the rate of heat conduction out of the human body, assuming that the core internal temperature is , the skin temperature is , the thickness of the tissues between averages 1.00 cm , and the surface area is .
Final Answer
Solution video
OpenStax College Physics, Chapter 14, Problem 32 (Problems & Exercises)

vote with a rating of
votes with an average rating of
.
Calculator Screenshots
Video Transcript
This is College Physics Answers with Shaun Dychko. We are going to calculate the rate of heat conduction out of the human body assuming that the tissue's on average are thickness of 1.00 centimeter which is 1.00 times 10 to the minus 2 meters and has an area of 1.40 square meters and a thermal conductivity equal to 0.2 which I found in this data table [14.3] and it's the thermal conductivity of fatty tissue... I don't know not sure what else to choose out of here, it's the closest we can get so it's 0.2 joules per second per meter per Celsius degree. Okay temperature outside is 34.0 degrees Celsius and we are just gonna plug all these numbers into this formula for the rate of heat conduction. So that's thermal conductivity of 0.2 times the area of 1.40 meters squared times the inside temperature of 37.0 degrees Celsius minus the outside temperature of 34.0 degrees Celsius divided by 1.00 times 10 to the minus 2 meters thickness and that's 8 times 10 to the 1 watts. And I chose only one significant figure here because our thermal conductivity has only one significant figure.