Question
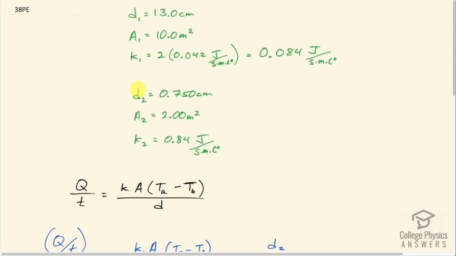
Compare the rate of heat conduction through a 13.0-cm- thick wall that has an area of and a thermal conductivity twice that of glass wool with the rate of heat conduction through a window that is 0.750 cm thick and that has an area of , assuming the same temperature difference across each.
Final Answer
The rate of heat transfer through the wall is 2.9% of that through the window.
Solution video
OpenStax College Physics, Chapter 14, Problem 38 (Problems & Exercises)

vote with a rating of
votes with an average rating of
.
Calculator Screenshots
Video Transcript
This is College Physics Answers with Shaun Dychko. We are going to compare the rate of heat transfer through a wall, which I have labeled with subscripts 1, to the rate of heat transfer through a window, which has all of its details labeled with a subscript 2. So the wall is 13.00 centimeters thick and since we are comparing two things... I know we are going to be dividing and so if we have units that are the same— centimeters for the thickness of the wall and centimeters for the thickness of the window— we probably don't need to change those units. We'll check to make sure when we get further along but if we are gonna divide centimeters by centimeters that will be fine; there's no need to convert this into meters. So the area of the wall is 10.0 square meters and the thermal conductivity of the wall is 2 times that of glass wool because it's probably full of fiber glass so fiber glass is another name for glass wool and so it's 0.084 joules per second per meter per Celsius degree. The thickness of the window... we assume it's just a single pane window because it has such a small thickness of 0.750 centimeters and we need to figure out what the thermal conductivity of it is and we'll have to use that of glass which is 0.84 joules per second per meter per Celsius degree and the area of the window is 2.00 meters squared. So the rate of heat conduction is the thermal conductivity multiplied by the area of something times the temperature difference between one side and the other divided by the distance between these two sides. And so for the wall that is Q over t number 1, we have the thermal conductivity of the wall times the area of the wall times this temperature difference which we don't need to label with subscripts 1 or 2 because it's the same temperature difference on the inside of the wall and the outside of the wall as it is in the inside of the window and the outside of the window so they are both in contact with the same air inside the house and the same air outside the house. But the thickness of the wall is distinct and so it has a subscript 1 there for the thickness of the wall. Okay! So this is getting divided by the same expression for the window but I find it confusing to divide a fraction by a fraction and so instead I am multiplying by the reciprocal of the denominator. So this is this rate of heat conduction across the window but I flipped it over since we are dividing by it. So this is the thickness of the window divided by the thermal conductivity of the window times its area times the same temperature difference. So this bracket T a minus T b can be canceled— it's a common factor on the top and bottom— and so we are left with this expression: k 1A 1d 2 over k 2A 2d 1. So we have 0.084—thermal conductivity for the wall— times the wall area of 10.0 square meters times the window thickness of 0.750 centimeters and here we can see that we are dividing 0.750 centimeters by 13.0 centimeters and since the centimeter units are the same— this is all good—we don't need to do unit conversions there. And so we are dividing by the thermal conductivity of the window—0.84— times its area of 2.00 square meters and we get 0.029. So this says the rate of heat transfer through the wall is only 2.9 percent, if you convert that into a percent, that of the window and that's quite dramatic because the wall is 5 times larger area than the window and yet it has only 2.9 percent of the rate of heat loss.