Question
(a) What is the rate of heat conduction through the 3.00-cm-thick fur of a large animal having a surface area? Assume that the animal’s skin temperature is , that the air temperature is , and that fur has the same thermal conductivity as air. (b) What food intake will the animal need in one day to replace this heat transfer?
Final Answer
Solution video
OpenStax College Physics, Chapter 14, Problem 36 (Problems & Exercises)

vote with a rating of
votes with an average rating of
.
Calculator Screenshots
Video Transcript
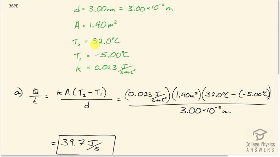
This is College Physics Answers with Shaun Dychko. A fur covered animal is losing some heat to the environment through conduction and the animal's temperature is 32.0 degrees Celsius and the outside temperature is negative 5.00 degrees Celsius and in between the animal's skin, at this temperature, and the outside air, at this temperature, is some fur of thickness 3.00 centimeters which is 3.00 times 10 to the minus 2 meters and has a thermal conductivity equal to that of air which is 0.023 joules per second per meter per Celsius degree and the surface area of the animal we are told is 1.40 meters squared and the question in part (a) is what is the rate of heat transfer to the environment? So that's going to be the thermal conductivity multiplied by the surface area times the difference in temperature divided by the thickness of the animal's hair. So that's 0.023 times 1.40 meters squared times 32.0 minus negative 5.00 degrees Celsius divided by 3.00 times 10 to the minus 2 meters which is 39.7 joules per second. You could also write this with units of watts because watts is an abbreviation for joules per second. In part (b), we are asked how much food intake will the animal need in order to meet this energy requirement in order to replace this energy lost in a full day? So we multiply the rate at which energy is lost which is a power and then multiply that by the amount of time and we end up with 39.7133 joules per second multiplied by the number of seconds in a day so that's 24 hours times 3600 seconds per hour and these seconds cancel leaving us with joules and our answer is 3.4312 times 10 to the 6 joules. But food calories are usually written in this 'Calories' unit which is on the packages of the nutrition label for food and so we'll convert to food Calories by multiplying by 1 food Calorie for every 4186 joules. You could also think of this food Calorie as being a kilocalorie— those are the same thing. So 820 food Calories are needed to meet the energy needs of this heat loss.