Question
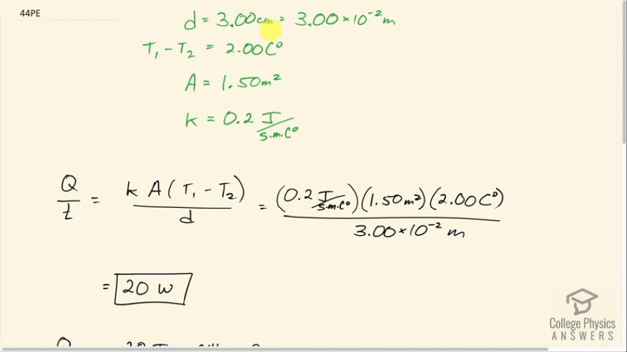
For the human body, what is the rate of heat transfer by conduction through the body’s tissue with the following conditions: the tissue thickness is 3.00 cm, the change in temperature is , and the skin area is . How does this compare with the average heat transfer rate to the body resulting from an energy intake of about 2400 kcal per day? (No exercise is included.)
Final Answer
The rate of heat loss is . On a daily basis, this is 17% of the daily food energy intake when there's a temperature difference of
Solution video
OpenStax College Physics, Chapter 14, Problem 44 (Problems & Exercises)

vote with a rating of
votes with an average rating of
.
Calculator Screenshots
Video Transcript
This is College Physics Answers with Shaun Dychko. We are going to calculate the rate of heat energy lost from the body due to conduction assuming that the body has a tissue thickness of about 3.00 centimeters; there's a temperature difference between the body and the outside of 2.00 Celsius degrees; the area of the body's tissue is 1.50 square meters and the thermal conductivity we'll take to be 0.2 joules per second per meter per Celsius degree. So the rate of energy lost then is this thermal conductivity times the area times the temperature difference divided by the tissue thickness and that is 20 joules per second, or 20 watts, and we compare this to the amount of food energy consumed per day. So to do that we have to turn this into an amount of energy per day instead of energy per second. So this 20 joules per second can be multiplied by 24 hours per day and then by 3600 seconds per hour and we are left with the number of joules per day, 1.728 times 10 to the 6 joules of heat energy lost everyday and the food energy consumed per day is 2400 kilocalories which we'll convert into joules by multiplying by 4186 joules per kilocalorie and we have 1.0046 times 10 to the 7 joules of food energy consumed per day. And so then we divide the heat energy lost per day by the food energy consumed per day and we get 0.172. So that means that energy lost by thermal conduction is only 17 percent of the daily food energy intake when there's a temperature difference of 2.00 Celsius degrees between the body and the outside.