Question
Suppose you walk into a sauna that has an ambient temperature of . (a) Calculate the rate of heat transfer to you by radiation given your skin temperature is , the emissivity of skin is 0.98, and the surface area of your body is . (b) If all other forms of heat transfer are balanced (the net heat transfer is zero), at what rate will your body temperature increase if your mass is 75.0 kg?
Final Answer
Solution video
OpenStax College Physics, Chapter 14, Problem 60 (Problems & Exercises)

vote with a rating of
votes with an average rating of
.
Calculator Screenshots
Video Transcript
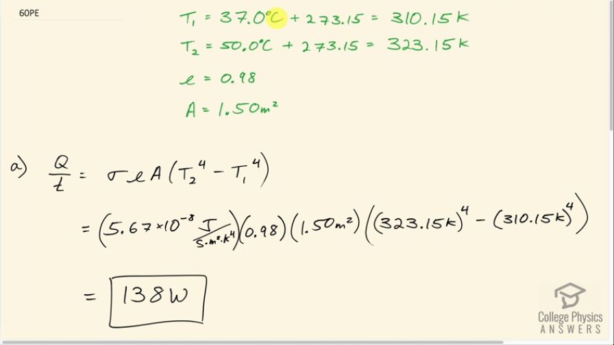
This is College Physics Answers with Shaun Dychko. So imagine you walk into a sauna that has a temperature of 50 degrees Celsius and your body has a temperature of 37.0 degrees Celsius— we convert both of these into Kelvin by the way by adding 273.15— and what is the rate of radiation heat transfer to your body assuming your body has an emissivity of 0.98 and an area of 1.50 square meters. So the rate of heat transfer due to radiation is Stefan-Boltzmann's constant times the emissivity times the area times the temperature of the environment which is the sauna to the power of 4 minus the temperature of the body to the power of 4. So it's 5.67 times 10 to the minus 8 times 0.98 times 1.50 times 323.15 Kelvin to the power of 4 minus 310.15 Kelvin to the power of 4 which is 138 watts. Now part (b), we are told to ignore all the other forms of heat transfer so ignore conduction between your body and the layer of air right beside the skin and ignore convection which will carry away the warm air besides your skin and replace it with cooler air and ignore both those sayings and assume that there's only radiative heat transfer and with that assumption, at what speed will your body temperature increase due to this net gain of 138 watts... well, 138 joules of energy per second? Okay. So we need to look up the specific heat of the body which is 3500 joules per kilogram per Celsius degree and the mass of the body, we are told, is 75.0 kilograms and the rate of heat transfer then is gonna be this amount of energy gained, which is mcΔT, and this is the change in temperature and the rate of temperature increase will be this ΔT over T so we need to solve for that and we'll divide both sides by mc. So ΔT over T is the rate of gaining energy divided by the mass times the specific heat. So it's 137.67 watts divided by 75.0 kilograms times 3500 joules per kilogram per Celsius degree which is 5.244 times 10 to the minus 4 Celsius degrees per second but let's turn that into per minute so we have something that's easier to imagine— this is such a small number. So we multiply by 60 seconds per minute and we get 0.0315 Celsius degrees per minute. So this is a fairly... it's a slow change in temperature obviously but it does suggest that there's some time limit for staying in a sauna which there is... I mean there's signs outside the sauna which will say an adult should stay a maximum of 15 minutes typically. An interesting extension to this question would be to calculate by how many Celsius degrees the body temperature would raise in 15 minutes? So you multiply this by 15.