Question
(a) Cherry-red embers in a fireplace are at and have an exposed area of 0.200 m2 and an emissivity of 0.980. The surrounding room has a temperature of . If 50% of the radiant energy enters the room, what is the net rate of radiant heat transfer in kilowatts? (b) Does your answer support the contention that most of the heat transfer into a room by a fireplace comes from infrared radiation?
Final Answer
- Compare to conduction: if we assume that heat conducted 1 meter away from the coals will reach beyond the fireplace, and therefore enter the room rather than go up the chimney, then only 3.83 W would be conducted to the room. Radiation has a heat transfer rate that is greater than that by conduction by a factor of 2300.
Solution video
OpenStax College Physics, Chapter 14, Problem 56 (Problems & Exercises)

vote with a rating of
votes with an average rating of
.
Calculator Screenshots
Video Transcript
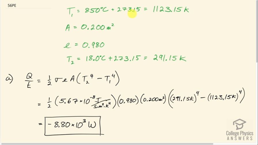
This is College Physics Answers with Shaun Dychko. Some fireplace embers have a temperature of 850 degrees Celsius which we convert into Kelvin by adding 273.15. The embers have an area of 0.200 square meters, an emissivity of 0.980 and the surrounding room has a temperature of 18.0 degrees Celsius which is 291.15 Kelvin. So this formula tells the net rate of heat transfer due to radiation and that's going to be multiplied by a half because, you know, I guess part of the radiation from the embers are you know, going backwards towards the back of the fireplace and not going into the room and likewise, the back of the embers are not going to receive an energy from the room either so this one-half accounts for that. And then we multiply by Stefan-Boltzmann's constant and then by the emissivity and then the area and then multiply by the difference in the temperatures raised to the fourth power each and this has to be absolute temperature in Kelvin. So we have one-half times 5.67 times 10 to the minus 8— Stefan-Boltzmann's constant— times 0.980—emissivity—times 0.200 square meters times 291.15 Kelvin—temperature of the room—to the power of 4 minus 1123.15 Kelvin—temperature of the embers—to the power of 4 and that is negative 8.80 times 10 to the 3 watts. This negative sign means that the object, which is the embers in this case, is losing heat energy to the room or to the surroundings. In part (b) we are asked to compare this with the rate of heat transfer due to maybe conduction. We could also talk about convection but convection doesn't have a convenient formula for it so let's talk about conduction and suppose that we are 1 meter away from the embers and we are gonna be having this heat travel through air so we'll have a thermal conductivity of 0.023 joules per second per meter per Celsius degree and the same area and then we multiply by the difference in temperatures here and we get negative 3.83 watts. So that is dramatically less than the rate of heat transfer due to radiation. So we might expect radiation to have a heat transfer rate that's greater by a factor of these two divided together which is 2300. So the rate of heat transfer due to radiation is greater than that due to conduction by a factor of 2300.