Question
(a) To what temperature must you raise a copper wire, originally at , to double its resistance, neglecting any changes in dimensions? (b) Does this happen in household wiring under ordinary circumstances?
Final Answer
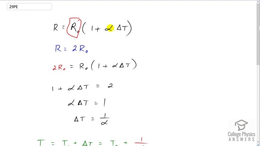
a)
b) This does not normally happen in household wiring. Circuit breakers are meant to interrupt the circuit before temperatures like this would be reached.
Solution video
OpenStax College Physics, Chapter 20, Problem 29 (Problems & Exercises)

vote with a rating of
votes with an average rating of
.
Calculator Screenshots
Video Transcript
This is College Physics Answers with Shaun Dychko. The resistance of a wire equals some original resistance multiplied by one plus the temperature coefficient of resistivity, multiplied by the change in temperature. We're told that the resistance of this copper wire is meant to double, so R is going to be two times what it originally was. So we substitute two R naught in place of R, equals R naught times one plus alpha delta t. We'll divide both sides by R naught and we get one plus alpha delta t equals two and then subtract one from both sides. alpha delta t equals one and so the change in temperature then after dividing both sides by alpha is going to be one over alpha. The final temperature of this copper wire will be its original temperature plus this change that we found. The change is one over alpha so we substitute that in for delta t and then plug in some numbers. So we have 20 degrees Celsius plus one over 3.9 times ten to the minus three reciprocal Celsius degrees, it's kind of strange unit there, this is the temperature coefficient of resistivity for copper. We end up with 280 degrees Celsius. This would not normally happen in household wiring because your circuit breakers are meant to interrupt the circuit before temperatures like this are reached. In fact there's a bi-metallic strip in an old-fashioned circuit breaker which changes its shape based on the temperature change in the wire and it'll move out of the way of some spring that will then move a switch so that it opens a circuit. So, all that to say that circuit breakers are triggered by temperature. Really old-fashioned circuit breakers, sorry I couldn't do a good drawing of that mechanical circuit breaker, but an old-fashioned one which is based on a fuse, is a glass circle and inside of it, it's like a little light bulb, but the thing inside of it does not produce light. There's no tungsten filament inside, there's just a thin wire that is made out of some material that will melt when the temperature gets too high. So again, a fuse is triggered by temperature. So circuit breakers stop wires from getting hot which is good because it prevents fires.