Question
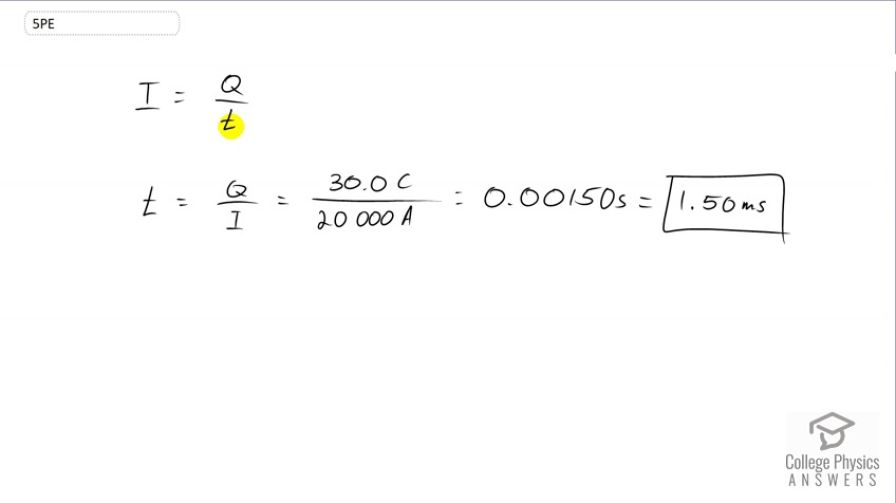
A large lightning bolt had a 20,000-A current and moved 30.0 C of charge. What was its duration?
Final Answer
Solution video
OpenStax College Physics, Chapter 20, Problem 5 (Problems & Exercises)

vote with a rating of
votes with an average rating of
.
Calculator Screenshots
Video Transcript
This is College Physics Answers with Shaun Dychko. Current is the charge that moves divided by the time it takes for it to move. For this lightning bolt we want to know what the duration of the lightning bolt is. So we have to solve this for t. So we multiply both sides by t and divide by I. Then on the left side the I's cancel leaving us with t on the left. On the right side the t's cancel leaving us with Q divided by I. So that's 30 coulombs divided by 20,000 amps which gives 0.00150 seconds which is 1.50 milliseconds.