Question
A resistor made of Nichrome wire is used in an application where its resistance cannot change more than 1.00% from its value at . Over what temperature range can it be used?
Final Answer
The temperature range is to .
Solution video
OpenStax College Physics, Chapter 20, Problem 30 (Problems & Exercises)

vote with a rating of
votes with an average rating of
.
Calculator Screenshots
Video Transcript
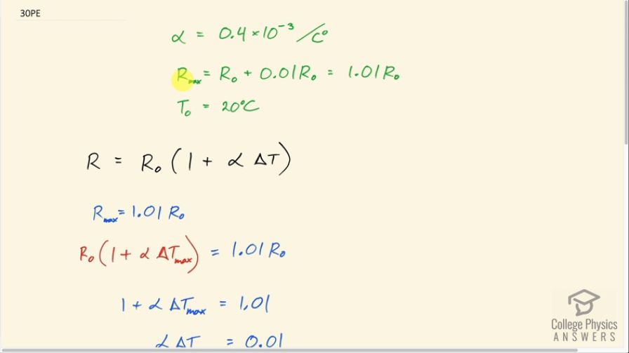
This is College Physics Answers with Shaun Dychko. A piece of nichrome wire is initially at 20 degrees Celsius and its resistance needs to be within 1 percent of its resistance at 20 degrees Celsius. So the maximum possible resistance it can have is the resistance R naught at 20 degrees plus 1 percent of R naught so plus 0.01 times R naught, in other words, and this works out to 1.01R naught. And the temperature coefficient of resistivity for nichrome we look up in table [20.2] and that is 0.4 times 10 to the minus 3 per Celsius degree and we have to figure out what ΔT is, in other words. And so resistance is the original resistance or times 1 plus the temperature coefficient of resistivity multiplied by the change in temperature. So the maximum resistance is 1.01 times R naught and so we'll plug in this for R max by substituting ΔT maximum here— we are considering the upper limit to the possible temperature. So how much can the temperature increase and still remain and still have the resistance remain within 1 percent of what it was originally. And we are gonna end up subtracting this from T naught and adding it to T naught to get our final answer for the total range of temperatures. So we have R naught times 1 plus αΔT max equals 1.01R naught and we can divide both sides by R naught and it cancels in other words and we have 1 plus αΔT max equals 1.01 and we subtract 1 from both sides and we get α times ΔT max equals 0.01 and then divide both sides by the temperature coefficient of resistivity. So the maximum increase in temperature is 0.01 divided by 0.4 times 10 to the minus 3 and this works out to 25 Celsius degrees is the amount of temperature you can add to the original temperature to get the maximum possible final temperature. So it's 20 degrees originally plus 25 Celsius degrees which is 45 degrees Celsius is the maximum possible temperature at which you will have nichrome having a resistance which is within 1.00 percent of its original resistance at 20 degrees Celsius. Now since α doesn't change much over small changes in temperature, we are gonna assume that the amount that we can subtract from this original temperature is the same as what we added. So we could have done all this with a minus here and then ΔT min but we don't need to, we'll just assume that the amount by which the temperature can decrease is the same as that by which it can increase since α doesn't change much with temperature over small changes in temperature so T minimum then—the minimum possible temperature—is the original temperature minus the change in temperature. So that's 20 degrees Celsius minus 25 degrees Celsius which is minus 5. So the total range in temperature in which the resistance will remain within 1 percent of the resistance at 20 degrees Celsius is minus 5 degrees Celsius to 45 degrees Celsius.