Question
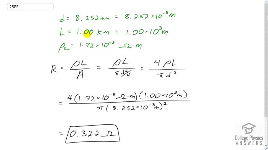
The diameter of 0-gauge copper wire is 8.252 mm. Find the resistance of a 1.00-km length of such wire used for power transmission.
Final Answer
Solution video
OpenStax College Physics, Chapter 20, Problem 25 (Problems & Exercises)

vote with a rating of
votes with an average rating of
.
Calculator Screenshots
Video Transcript
This is College Physics Answers with Shaun Dychko. It's important to begin a question by writing down all the stuff that we're given and also take care of unit conversions in this step when you're just writing things down so that you don't have to think about it during your algebra and the work that follows. So the diameter of our zero gauge copper wire is 8.252 millimeters which we convert into meters by multiplying by ten to the minus three. The length is one kilometer which is one times ten to the three meters. Since we're told this is copper, its resistivity if we look it up in the table given to us in the textbook, is 1.72 times ten to the minus eight ohm meters. So the resistance of the wire is resistivity multiplied by its length divided by its cross-sectional area. The cross-sectional area will be pi times d squared over four, and then if you multiply top and bottom by four you get rid of the four that's nested within this fraction which looks kind of ugly, so we'll put the four in the numerator. So we have four rho l over i d squared. So that's four times 1.72 times ten to the minus eight ohm meters, times one times ten to the three meters divided by pi times 8.252 times ten to the minus three meters squared, giving us 0.322 ohms of resistance.
Comments
why does cross sectional area in this example equal PI* d^2 over 4 and not 2PIr
where does the squared over 4 part come from?
Hi parm, I think what you mean is why vs , right? They're both correct. The question gives us diameter, and we know that radius is half the diameter. In formula terms, where diameter is and radius is , then . Substituting for in gives where the is the result of squaring the denominator of .
All the best,
Shaun