Question
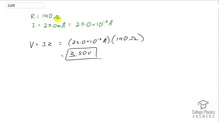
How many volts are supplied to operate an indicator light on a DVD player that has a resistance of , given that 25.0 mA passes through it?
Final Answer
Solution video
OpenStax College Physics, Chapter 20, Problem 21 (Problems & Exercises)

vote with a rating of
votes with an average rating of
.
Calculator Screenshots
Video Transcript
This is College Physics Answers with Shaun Dychko. Begin by writing down the information we're given. We're told that the resistance in this DVD indicator light is 140 ohms and the current going through it is 25 milliamps which we convert into amps by multiplying by ten to the minus three because that's what the prefix milli means. So the voltage will be the current multiplied by resistance so 25 times ten to minus three amps multiplied by 149 ohms, gives three and a half volts.