Chapter 20

Chapter thumbnail
Electric energy in massive quantities is transmitted from this hydroelectric facility, the Srisailam power station located along the Krishna River in India, by the movement of charge—that is, by electric current.

Chapter 20 : Electric Current, Resistance, and Ohm's Law - all with Video Solutions

Problems & Exercises

Section 20.1: Current

Problem 3

What is the current when a typical static charge of 0.250μC0.250 \mu\textrm{C} moves from your finger to a metal doorknob in 1.00μs1.00 \mu\textrm{s}?

View solution

Problem 4

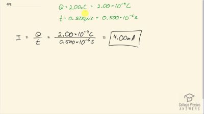
Find the current when 2.00 nC jumps between your comb and hair over a 0.500 μs0.500\textrm{ }\mu\textrm{s} time interval.

View solution

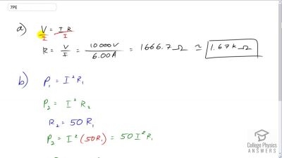
Problem 7

(a) A defibrillator sends a 6.00-A current through the chest of a patient by applying a 10,000-V potential as in the figure below. What is the resistance of the path? (b) The defibrillator paddles make contact with the patient through a conducting gel that greatly reduces the path resistance. Discuss the difficulties that would ensue if a larger voltage were used to produce the same current through the patient, but with the path having perhaps 50 times the resistance. (Hint: The current must be about the same, so a higher voltage would imply greater power. Use this equation for power: P=I2RP=I^2R)

View solution

Problem 8

During open-heart surgery, a defibrillator can be used to bring a patient out of cardiac arrest. The resistance of the path is 500 Ω500\textrm{ }\Omega and a 10.0 mA current is needed. What voltage should be applied?

View solution

Problem 9

(a) A defibrillator passes 12.0 A of current through the torso of a person for 0.0100 s. How much charge moves? (b) How many electrons pass through the wires connected to the patient? (See figure below.)

View solution

Problem 10

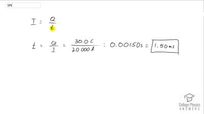
A clock battery wears out after moving 10,000 C of charge through the clock at a rate of 0.500 mA. (a) How long did the clock run? (b) How many electrons per second flowed?

View solution

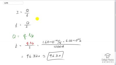
Problem 11

The batteries of a submerged non-nuclear submarine supply 1000 A at full speed ahead. How long does it take to move Avogadro's number ( 6.02×10236.02 \times 10^{23} ) of electrons at this rate?

View solution

Problem 12

Electron guns are used in X-ray tubes. The electrons are accelerated through a relatively large voltage and directed onto a metal target, producing X-rays. (a) How many electrons per second strike the target if the current is 0.500 mA? (b) What charge strikes the target in 0.750 s?

View solution

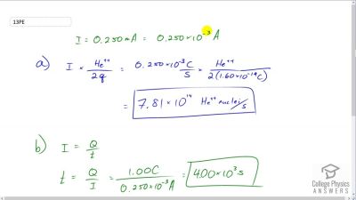
Problem 13

A large cyclotron directs a beam of He++\textrm{He}^{++} nuclei onto a target with a beam current of 0.250 mA. (a) How many He++\textrm{He}^{++} nuclei per second is this? (b) How long does it take for 1.00 C to strike the target? (c) How long before 1.00 mol of He++\textrm{He}^{++} nuclei strike the target?

View solution

Problem 14

Repeat Example 20.3, but for a wire made of silver and given there is one free electron per silver atom.

Example 20.3 Calculate the drift velocity of electrons in a 12-gauge copper wire (which has a diameter of 2.053 mm) carrying a 20.0-A current, given that there is one free electron per copper atom. (Household wiring often contains 12-gauge copper wire, and the maximum current allowed in such wire is usually 20 A.)

View solution

Problem 15

Using the results of Example 20.3, find the drift velocity in a copper wire of twice the diameter and carrying 20.0 A.

Example 20.3

Calculate the drift velocity of electrons in a 12-gauge copper wire (which has a diameter of 2.053 mm) carrying a 20.0-A current, given that there is one free electron per copper atom. (Household wiring often contains 12-gauge copper wire, and the maximum current allowed in such wire is usually 20 A.) The density of copper is 8.80×103 kg/m38.80 \times 10^3 \textrm{ kg/m}^3 .

View solution

Problem 17

SPEAR, a storage ring about 72.0 m in diameter at the Stanford Linear Accelerator (closed in 2009), has a 20.0-A circulating beam of electrons that are moving at nearly the speed of light. (See Figure 20.39.) How many electrons are in the beam?

View solution

Section 20.2: Ohm's Law: Resistance and Simple Circuits

Problem 18

What current flows through the bulb of a 3.00-V flashlight when its hot resistance is 3.60 Omega3.60\textrm{ }\textrm{Omega}?

View solution

Problem 20

What is the effective resistance of a car’s starter motor when 150 A flows through it as the car battery applies 11.0 V to the motor?

View solution

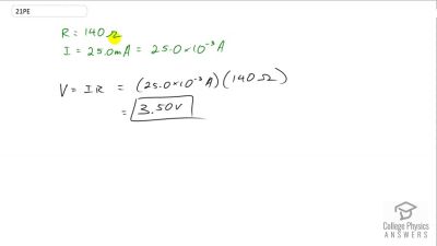
Problem 21

How many volts are supplied to operate an indicator light on a DVD player that has a resistance of 140Ω140 \Omega , given that 25.0 mA passes through it?

View solution

Problem 22

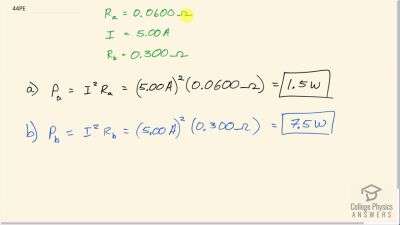
(a) Find the voltage drop in an extension cord having a 0.0600 Ω0.0600\textrm{ }\Omega resistance and through which 5.00 A is flowing. (b) A cheaper cord utilizes thinner wire and has a resistance of 0.300 Ω0.300\textrm{ }\Omega. What is the voltage drop in it when 5.00 A flows? (c) Why is the voltage to whatever appliance is being used reduced by this amount? What is the effect on the appliance?

View solution

Problem 23

A power transmission line is hung from metal towers with glass insulators having a resistance of 1.00×109Ω1.00 \times 10^9 \Omega What current flows through the insulator if the voltage is 200 kV? (Some high-voltage lines are DC.)

View solution

Section 20.3: Resistance and Resistivity

Problem 25

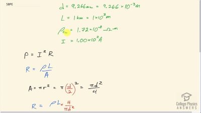
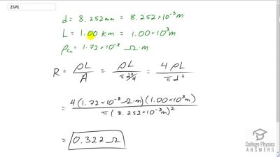
The diameter of 0-gauge copper wire is 8.252 mm. Find the resistance of a 1.00-km length of such wire used for power transmission.

View solution

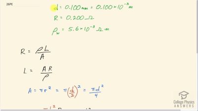
Problem 26

If the 0.100-mm diameter tungsten filament in a light bulb is to have a resistance of 0.200 Ω0.200\textrm{ }\Omega at 20.0C20.0^\circ\textrm{C} , how long should it be?

View solution

Problem 27

Find the ratio of the diameter of aluminum to copper wire, if they have the same resistance per unit length (as they might in household wiring).

View solution

Problem 28

What current flows through a 2.54-cm-diameter rod of pure silicon that is 20.0 cm long, when 1.00×103 V1.00\times 10^{3}\textrm{ V} is applied to it? (Such a rod may be used to make nuclear- particle detectors, for example.)

View solution

Problem 29

(a) To what temperature must you raise a copper wire, originally at 20.0C20.0^\circ\textrm{C} , to double its resistance, neglecting any changes in dimensions? (b) Does this happen in household wiring under ordinary circumstances?

View solution

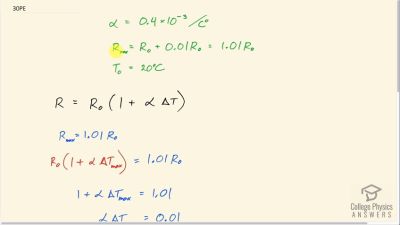
Problem 30

A resistor made of Nichrome wire is used in an application where its resistance cannot change more than 1.00% from its value at 20.0C20.0^\circ\textrm{C} . Over what temperature range can it be used?

View solution

Problem 31

Of what material is a resistor made if its resistance is 40.0% greater at 100C100^\circ\textrm{C} than at 20.0C20.0^\circ\textrm{C} ?

View solution

Problem 32

An electronic device designed to operate at any temperature in the range from 10.0C-10.0^\circ\textrm{C} to 55.0C55.0^\circ\textrm{C} contains pure carbon resistors. By what factor does their resistance increase over this range?

View solution

Problem 33

(a) Of what material is a wire made, if it is 25.0 m long with a 0.100 mm diameter and has a resistance of 77.7Ω77.7 \Omega at 20.0C20.0^\circ\textrm{C} ? (b) What is its resistance at 150C150^\circ\textrm{C}?

View solution

Problem 34

Assuming a constant temperature coefficient of resistivity, what is the maximum percent decrease in the resistance of a constantan wire starting at 20.0C20.0^\circ\textrm{C}?

View solution

Problem 36

A copper wire has a resistance of 0.500 Ω0.500\textrm{ }\Omega at 20.0C20.0^\circ\textrm{C} , and an iron wire has a resistance of 0.525 Ω0.525\textrm{ }\Omega at the same temperature. At what temperature are their resistances equal?

View solution

Problem 37

(a) Digital medical thermometers determine temperature by measuring the resistance of a semiconductor device called a thermistor (which has α=0.0600/C\alpha = -0.0600 \textrm{/}C^\circ ) when it is at the same temperature as the patient. What is a patient's temperature if the thermistor's resistance at that temperature is 82.0% of its value at 37.0C37.0^\circ\textrm{C} (normal body temperature)? (b) The negative value for α\alpha may not be maintained for very low temperatures. Discuss why and whether this is the case here. (Hint: Resistance can't become negative.)

View solution

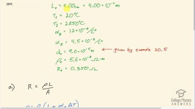
Problem 38

(a) Redo Example 20.6 taking into account the thermal expansion of the tungsten filament. You may assume a thermal expansion coefficient of 12×106 /C12\times 10^{-6}\textrm{ /C}^\circ. (b) By what percentage does your answer differ from that in the example?

Example 20.6: Although caution must be used in applying ρ=ρo(1+αΔT)\rho = \rho_o(1 + \alpha \Delta T) and R=Ro(1+αΔT)R = R_o(1+\alpha \Delta T) for temperature changes greater than 100C100^\circ\textrm{C} , for tungsten the equations work reasonably well for very large temperature changes. What, then, is the resistance of the tungsten filament in the previous example if its temperature is increased from room temperature ( 20C20^\circ\textrm{C} ) to a typical operating temperature of 2850C2850^\circ\textrm{C} ?

Example 20.5: A car headlight filament is made of tungsten and has a cold resistance of 0.350 Ω0.350\textrm{ }\Omega . If the filament is a cylinder 4.00 cm long (it may be coiled to save space), what is its diameter? Solution: D=9.0×105 mD = 9.0\times 10^{-5}\textrm{ m}

View solution

Problem 39

(a) To what temperature must you raise a resistor made of constantan to double its resistance, assuming a constant temperature coefficient of resistivity? (b) To cut it in half? (c) What is unreasonable about these results? (d) Which assumptions are unreasonable, or which premises are inconsistent?

View solution

Section 20.4: Electric Power and Energy

Problem 40

What is the power of a 1.00×102 MV1.00\times 10^{2}\textrm{ MV} lightening bolt having a current of 2.00×104 A2.00\times 10^{4}\textrm{ A}

View solution

Problem 42

A charge of 4.00 C of charge passes through a pocket calculator’s solar cells in 4.00 h. What is the power output, given the calculator’s voltage output is 3.00 V? (See Figure 20.40.)

View solution

Problem 43

How many watts does a flashlight that has 6.00×102 C6.00 \times 10^2 \textrm{ C} pass through it in 0.500 h use if its voltage is 3.00 V?

View solution

Problem 44

Find the power dissipated in each of these extension cords: (a) an extension cord having a 0.0600 Ω0.0600\textrm{ }\Omega resistance and through which 5.00 A is flowing; (b) a cheaper cord utilizing thinner wire and with a resistance of 0.300 Ω0.300\textrm{ }\Omega.

View solution

Problem 46

Show that the units V2Ω=1 W\dfrac{\textrm{V}^2}{\Omega} = 1\textrm{ W}, as implied by the equation P=V2RP = \dfrac{V^2}{R}.

View solution

Problem 47

Show that the units 1 V2/Ω=1 W1 \textrm{ V}^2 \textrm{/}\Omega = 1\textrm{ W}, as implied by the equation P=V2RP = \dfrac{V^2}{R}.

View solution

Problem 48

Verify the energy unit equivalence that 1 kWh=3.60×106 J1\textrm{ kW}\cdot\textrm{h} = 3.60\times 10^{6}\textrm{ J}.

View solution

Problem 49

Electrons in an X-ray tube are accelerated through 1.00×102 kV1.00 \times 10^2 \textrm{ kV} and directed toward a target to produce X-rays. Calculate the power of the electron beam in this tube if it has a current of 15.0 mA.

View solution

Problem 50

An electric water heater consumes 5.00 kW for 2.00 h per day. What is the cost of running it for one year if electricity costs 12.0 cents/KWh12.0\textrm{ cents/KW}\cdot\textrm{h}? See Figure 20.41.

View solution

Problem 51

With a 1200-W toaster, how much electrical energy is needed to make a slice of toast (cooking time = 1 minute)? At 9.0 cents/kWh9.0 \textrm{ cents/kW} \cdot \textrm{h}, how much does this cost?

View solution

Problem 52

What would be the maximum cost of a CFL such that the total cost (investment plus operating) would be the same for both CFL and incandescent 60-W bulbs? Assume the cost of the incandescent bulb is 25 cents and that electricity costs 10 cents/kWh. Calculate the cost for 1000 hours, as in the cost effectiveness of CFL example.

View solution

Problem 53

Some makes of older cars have 6.00-V electrical systems. (a) What is the hot resistance of a 30.0-W headlight in such a car? (b) What current flows through it?

View solution

Problem 54

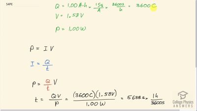
Alkaline batteries have the advantage of putting out constant voltage until very nearly the end of their life. How long will an alkaline battery rated at 1.00 Ah1.00\textrm{ A}\cdot\textrm{h} and 1.58 V keep a 1.00-W flashlight bulb burning?

View solution

Problem 55

A cauterizer, used to stop bleeding in surgery, puts out 2.00 mA at 15.0 kV. (a) What is its power output? (b) What is the resistance of the path?

View solution

Problem 56

The average television is said to be on 6 hours per day. Estimate the yearly cost of electricity to operate 100 million TVs, assuming their power consumption averages 150 W and the cost of electricity averages 12.0 cents/kWh12.0\textrm{ cents/kW}\cdot\textrm{h}.

View solution

Problem 57

An old light bulb draws only 50.0 W, rather than its original 60.0 W, due to evaporative thinning of its filament. By what factor is its diameter reduced, assuming uniform thinning along its length? Neglect any effects caused by temperature differences.

View solution

Problem 58

00-gauge copper wire has a diameter of 9.266 mm. Calculate the power loss in a kilometer of such wire when it carries 1.00×102 A1.00\times 10^{2}\textrm{ A}.

View solution

Problem 59

Cold vaporizers pass a current through water, evaporating it with only a small increase in temperature. One such home device is rated at 3.50 A and utilizes 120 V AC with 95.0% efficiency. (a) What is the vaporization rate in grams per minute? (b) How much water must you put into the vaporizer for 8.00 h of overnight operation? (See Figure 20.42.)

View solution

Problem 60

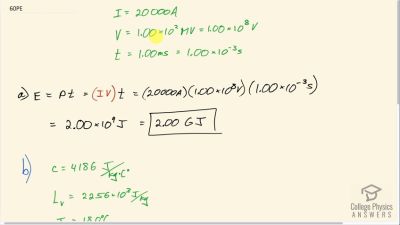
(a) What energy is dissipated by a lightning bolt having a 20,000-A current, a voltage of 1.00×102 MV1.00\times 10^{2}\textrm{ MV} , and a length of 1.00 ms? (b) What mass of tree sap could be raised from 18.0C18.0^\circ\textrm{C} to its boiling point and then evaporated by this energy, assuming sap has the same thermal characteristics as water?

View solution

Problem 61

What current must be produced by a 12.0-V battery-operated bottle warmer in order to heat 75.0 g of glass, 250 g of baby formula, and 3.00×102 g3.00 \times 10^2 \textrm{ g} of aluminum from 20.0C20.0^\circ\textrm{C} to 90.0C90.0^\circ \textrm{C} in 5.00 min?

View solution

Problem 62

How much time is needed for a surgical cauterizer to raise the temperature of 1.00 g of tissue from 37.0C37.0^\circ\textrm{C} to 100C100^\circ\textrm{C} and then boil away 0.500 g of water, if it puts out 2.00 mA at 15.0 kV? Ignore heat transfer to the surroundings.

View solution

Problem 63

Hydroelectric generators (see Figure 20.43) at Hoover Dam produce a maximum current of 8.00×103 A8.00 \times 10^3 \textrm{ A} at 250 kV. (a) What is the power output? (b) The water that powers the generators enters and leaves the system at low speed (thus its kinetic energy does not change) but loses 160 m in altitude. How many cubic meters per second are needed, assuming 85.0% efficiency?

View solution

Problem 64

(a) Assuming 95.0% efficiency for the conversion of electrical power by the motor, what current must the 12.0-V batteries of a 750-kg electric car be able to supply: (a) To accelerate from rest to 25.0 m/s in 1.00 min? (b) To climb a 2.00×102 m2.00\times 10^{2}\textrm{ m} high hill in 2.00 min at a constant 25.0-m/s speed while exerting 5.00×102 N5.00\times 10^{2}\textrm{ N} of force to overcome air resistance and friction? (c) To travel at a constant 25.0-m/s speed, exerting a 5.00×102 N5.00\times 10^{2}\textrm{ N} force to overcome air resistance and friction? See Figure 20.44.

View solution

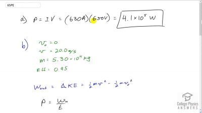
Problem 65

A light-rail commuter train draws 630 A of 650-V DC electricity when accelerating. (a) What is its power consumption rate in kilowatts? (b) How long does it take to reach 20.0 m/s starting from rest if its loaded mass is 5.30×104 kg5.30 \times 10^4 \textrm{ kg} , assuming 95.0% efficiency and constant power? (c) Find its average acceleration. (d) Discuss how the acceleration you found for the light-rail train compares to what might be typical for an automobile.

View solution

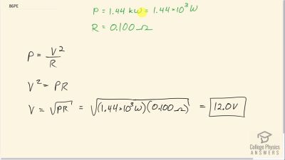
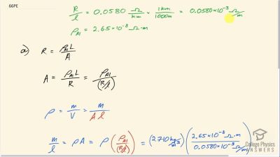
Problem 66

(a) An aluminum power transmission line has a resistance of 0.0580 Ω/km0.0580 \textrm{ }\Omega \textrm{/km}. What is its mass per kilometer? (b) What is the mass per kilometer of a copper line having the same resistance?

View solution

Problem 67

(a) An immersion heater utilizing 120 V can raise the temperature of a 1.00×102 g1.00 \times 10^2 \textrm{ g} aluminum cup containing 350 g of water from 20.0C20.0^\circ\textrm{C} to 95.0C95.0^\circ\textrm{C} in 2.00 min. Find its resistance, assuming it is constant during the process. (b) A lower resistance would shorten the heating time. Discuss the practical limits to speeding the heating by lowering the resistance.

View solution

Problem 68

(a) What is the cost of heating a hot tub containing 1500 kg of water from 10.0C10.0^\circ\textrm{C} to 40.0C40.0^\circ\textrm{C} , assuming 75.0% efficiency to account for heat transfer to the surroundings? The cost of electricity is 9 cents/kW ⋅ h . (b) What current was used by the 220-V AC electric heater, if this took 4.00 h?

View solution

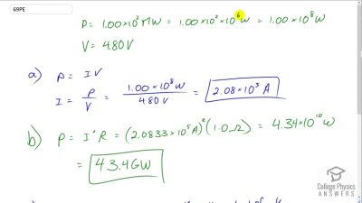
Problem 69

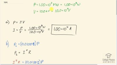
(a) What current is needed to transmit 1.00×102 MW1.00 \times 10^2 \textrm{ MW} of power at 480 V? (b) What power is dissipated by the transmission lines if they have a 1.00Ω1.00 \Omega resistance? (c) What is unreasonable about this result? (d) Which assumptions are unreasonable, or which premises are inconsistent?

View solution

Problem 70

(a) What current is needed to transmit 1.00×102 MW1.00\times 10^{2}\textrm{ MW} of power at 10.0 kV? (b) Find the resistance of 1.00 km of wire that would cause a 0.0100% power loss. (c) What is the diameter of a 1.00-km-long copper wire having this resistance? (d) What is unreasonable about these results? (e) Which assumptions are unreasonable, or which premises are inconsistent?

View solution

Section 20.5: Alternating Current versus Direct Current

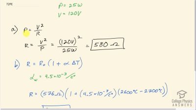
Problem 72

(a) What is the hot resistance of a 25-W light bulb that runs on 120-V AC? (b) If the bulb’s operating temperature is 2700C2700^\circ\textrm{C}, what is its resistance at 2600C2600^\circ\textrm{C}?

View solution

Problem 75

Military aircraft use 400-Hz AC power, because it is possible to design lighter-weight equipment at this higher frequency. What is the time for one complete cycle of this power?

View solution

Problem 76

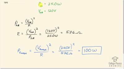
A North American tourist takes his 25.0-W, 120-V AC razor to Europe, finds a special adapter, and plugs it into 240 V AC. Assuming constant resistance, what power does the razor consume as it is ruined?

View solution

Problem 77

In this problem, you will verify statements made at the end of the power losses for Example 20.10. (a) What current is needed to transmit 100 MW of power at a voltage of 25.0 kV? (b) Find the power loss in a 1.00Ω1.00 \Omega transmission line. (c) What percent loss does this represent?

View solution

Problem 78

A small office-building air conditioner operates on 408-V AC and consumes 50.0 kW. (a) What is its effective resistance? (b) What is the cost of running the air conditioner during a hot summer month when it is on 8.00 h per day for 30 days and electricity costs 9.00 cents/kW9.00 \textrm{ cents/kW}\cdot?

View solution

Problem 81

Two different electrical devices have the same power consumption, but one is meant to be operated on 120-V AC and the other on 240-V AC. (a) What is the ratio of their resistances? (b) What is the ratio of their currents? (c) Assuming its resistance is unaffected, by what factor will the power increase if a 120-V AC device is connected to 240-V AC?

View solution

Problem 82

Nichrome wire is used in some radiative heaters. (a) Find the resistance needed if the average power output is to be 1.00 kW utilizing 120-V AC. (b) What length of Nichrome wire, having a cross-sectional area of 5.00 mm25.00\textrm{ mm}^2, is needed if the operating temperature is 500C500^\circ\textrm{C}? (c) What power will it draw when first switched on?

View solution

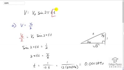
Problem 83

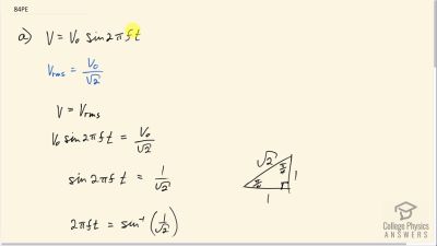
Find the time after t=0t = 0 when the instantaneous voltage of 60-Hz AC first reaches the following values: (a) Vo2\dfrac{V_o}{2} (b) VoV_o (c) 0.

View solution

Problem 84

(a) At what two times in the first period following t=0t=0 does the instantaneous voltage in 60=Hz AC equal VrmsV_{\textrm{rms}}? (b) Vrms-V_{\textrm{rms}}

View solution

Section 20.6: Electric Hazards and the Human Body

Problem 85

(a) How much power is dissipated in a short circuit of 240-V AC through a resistance of 0.250Ω0.250 \Omega ? (b) What current flows?

View solution

Problem 87

Find the current through a person and identify the likely effect on her if she touches a 120-V AC source: (a) if she is standing on a rubber mat and offers a total resistance of 300 kΩ300 \textrm{ k}\Omega ; (b) if she is standing barefoot on wet grass and has a resistance of only 4000Ω4000 \Omega.

View solution

Problem 88

While taking a bath, a person touches the metal case of a radio. The path through the person to the drainpipe and ground has a resistance of 4000 Ω4000\textrm{ }\Omega. What is the smallest voltage on the case of the radio that could cause ventricular fibrillation?

View solution

Problem 89

Foolishly trying to fish a burning piece of bread from a toaster with a metal butter knife, a man comes into contact with 120-V AC. He does not even feel it since, luckily, he is wearing rubber-soled shoes. What is the minimum resistance of the path the current follows through the person?

View solution

Problem 90

(a) During surgery, a current as small as 20.0 μA20.0\textrm{ }\mu\textrm{A} applied directly to the heart may cause ventricular fibrillation. If the resistance of the exposed heart is 300 Ω300\textrm{ }\Omega, what is the smallest voltage that poses this danger? (b) Does your answer imply that special electrical safety precautions are needed?

View solution

Problem 91

(a) What is the resistance of a 220-V AC short circuit that generates a peak power of 96.8 kW? (b) What would the average power be if the voltage was 120 V AC?

View solution

Problem 92

A heart defibrillator passes 10.0 A through a patient’s torso for 5.00 ms in an attempt to restore normal beating. (a) How much charge passed? (b) What voltage was applied if 500 J of energy was dissipated? (c) What was the path’s resistance? (d) Find the temperature increase caused in the 8.00 kg of affected tissue.

View solution

Problem 93

A short circuit in a 120-V appliance cord has a 0.500Ω0.500 \Omega resistance. Calculate the temperature rise of the 2.00 g of surrounding materials, assuming their specific heat capacity is 0.200 cal/gC0.200 \textrm{ cal/g}\cdot^\circ\textrm{C} and that it takes 0.0500 s for a circuit breaker to interrupt the current. Is this likely to be damaging?

View solution

Section 20.7: Nerve Conduction—Electrocardiograms

Problem 96

(a) Referring to Figure 20.34, find the time systolic pressure lags behind the middle of the QRS complex. (b) Discuss the reasons for the time lag.

View solution