Question
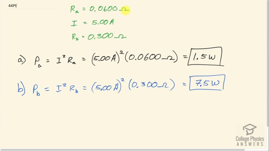
Find the power dissipated in each of these extension cords: (a) an extension cord having a resistance and through which 5.00 A is flowing; (b) a cheaper cord utilizing thinner wire and with a resistance of .
Final Answer
Solution video
OpenStax College Physics, Chapter 20, Problem 44 (Problems & Exercises)

vote with a rating of
votes with an average rating of
.
Calculator Screenshots
Video Transcript
This is College Physics Answers with Shaun Dychko. In this question, we consider two different extension cords: extension cord a has a resistance of 0.0600 ohms and the extension cord in part (b) has a resistance of 0.300 ohms and the current flowing in each case is 5.00 amps and the question is how much power is dissipated in the cord? In other words, how much heat does the cord itself make? So in part (a), the power will be the current squared multiplied by R a so that's 5.00 amps times 0.0600 ohms which is 1.5 watts. In part (b), we have the current squared times R b so that's 5.00 amps squared times 0.300 ohms which is 7.5 watts. So the cheaper extension cord, which is probably thinner and has less copper in it, has a higher resistance and as a result wastes more heat.