Question
An electronic device designed to operate at any temperature in the range from to contains pure carbon resistors. By what factor does their resistance increase over this range?
Final Answer
Solution video
OpenStax College Physics, Chapter 20, Problem 32 (Problems & Exercises)

vote with a rating of
votes with an average rating of
.
Video Transcript
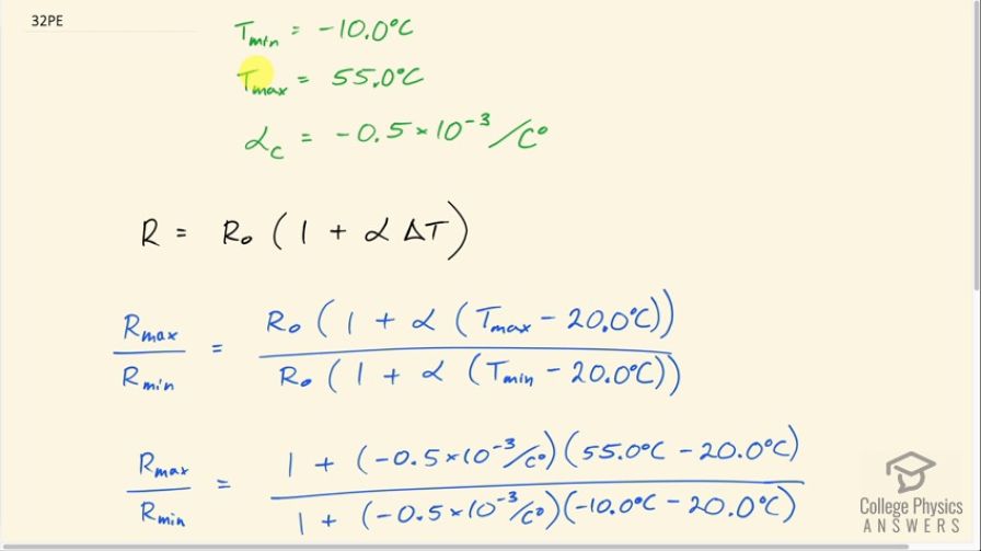
This is College Physics Answers with Shaun Dychko. Some pure carbon resistors are going to be used over a temperature range of minus 10.0 degrees Celsius to a maximum of 55.0 degrees Celsius and the question is by what factor does the resistance increase in this temperature range? So the temperature coefficient of resistivity for carbon we look up in table [20.2] and that is negative 0.5 times 10 to the minus 3 per Celsius degree. So we write that down in our collection of data that we know at the beginning of our question. So resistance is the resistance at some standard temperature which is 20.0 degrees Celsius in our case multiplied by 1 plus the temperature coefficient of resistivity multiplied by the change in temperature compared to 20.0 degrees. So the resistance at the maximum temperature is R naught times 1 plus α times maximum temperature minus 20.0 degrees Celsius—20.0 degrees again is our reference temperature— and the resistance at the minimum temperature is R naught times 1 plus α times the minimum temperature minus 20.0 degrees Celsius. So plugging in... first of all canceling the R naught's because it's a common factor on top and bottom of this fraction and then substituting for α with negative 0.5 times 10 to the minus 3 and then plugging in 55.0 degrees Celsius for maximum temperature and minus 10.0 for the minimum temperature, we end up with 0.96798. Now I did a little bit of an oversight here because the temperature coefficient of resistivity for carbon is unusual in that it is negative, it turns out like most things are positive here for temperature coefficients of resistivity whereas the semi-conductors are negative which is to say that the semiconductors become more conducting or have less resistance as temperature increases and that's a bit unusual because all the metals are of the opposite effect. So what I initially kinda thought in my mind was the maximum resistance would be at the maximum temperature, this turns out to be the minimum resistance occurs at the maximum temperature. So this maximum here really refers to resistance at the maximum temperature it doesn't refer to the maximum resistance. So to find the factor by which the resistance increases, we'll need to take the reciprocal of these because it turns out that the maximum resistance occurs at the minimum temperature, which is what this is, and we divide that by the resistance of the maximum temperature so we are taking the reciprocal of this fraction in other words and so we take the reciprocal of the other side as well and this works out to 1.03. So the maximum resistance is greater than the minimum resistance by a factor of 1.03.