Question
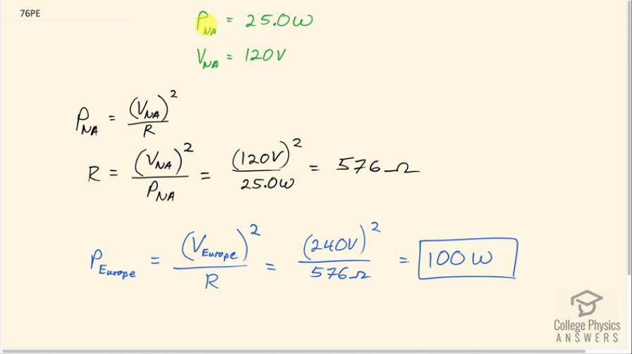
A North American tourist takes his 25.0-W, 120-V AC razor to Europe, finds a special adapter, and plugs it into 240 V AC. Assuming constant resistance, what power does the razor consume as it is ruined?
Final Answer
Solution video
OpenStax College Physics, Chapter 20, Problem 76 (Problems & Exercises)

vote with a rating of
votes with an average rating of
.
Calculator Screenshots
Video Transcript
This is College Physics Answers with Shaun Dychko. A razor plugged into a North-American electrical outlet, which has a 120 volts, draws a power of 25.0 watts so I have NA for North-America. So we can figure out what the resistance is inside this electric razor and then when it's plugged into an outlet in Europe, we'll use that resistance to calculate the power that the razor uses in Europe and we'll take the voltage in Europe squared divided by that resistance to figure out the power. So we multiply both sides here by R over P NA and then we get that R is the voltage in North America squared divided by the power that it draws in North America. So that's 120 volts squared divided by 25.0 watts and so its resistance is 576 ohms and that resistance will not change when it's plugged in Europe, the resistance is a property of the device itself, the razor. So when it's plugged in in Europe, we are gonna take this new voltage in Europe, which is 240 volts, square that and divide by the same resistance as it had in anywhere else—576 ohms— and it will draw a power of 100 watts which is gonna create a lot of heat because this power is 4 times more than what it drew in North America and so it's gonna overheat and probably little wires inside of it will melt and it will get destroyed.