Question
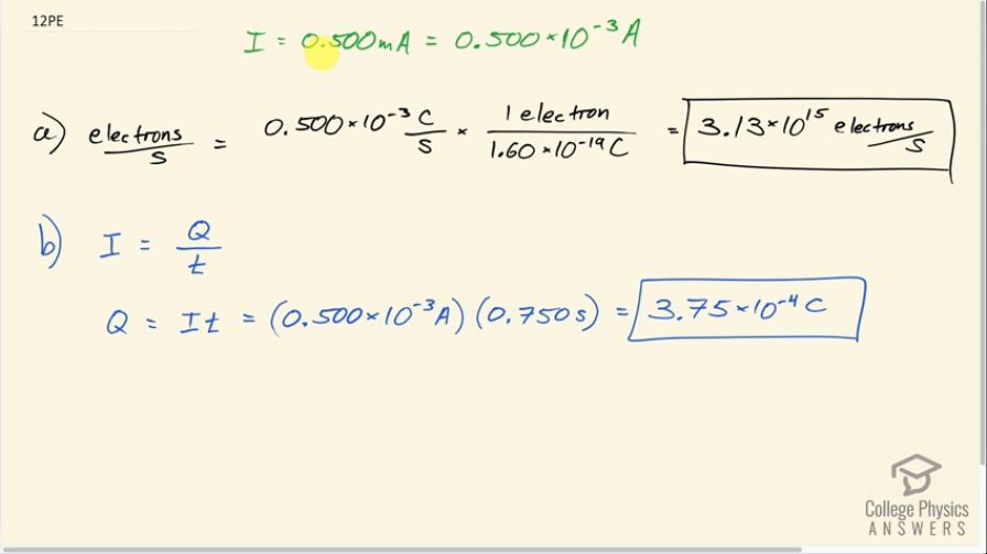
Electron guns are used in X-ray tubes. The electrons are accelerated through a relatively large voltage and directed onto a metal target, producing X-rays. (a) How many electrons per second strike the target if the current is 0.500 mA? (b) What charge strikes the target in 0.750 s?
Final Answer
Solution video
OpenStax College Physics, Chapter 20, Problem 12 (Problems & Exercises)

vote with a rating of
votes with an average rating of
.
Calculator Screenshots
Video Transcript
This is College Physics Answers with Shaun Dychko. We want to know how many electrons are hitting the metal target in this x-ray tube every second. So we know there are 0.500 milliamps of current, which is 0.500 times 10 to the minus 3 amps and the amps is a unit that's short for coulombs per second and so I can substitute C over s in place of A. So we have 0.500 times 10 to the minus 3 coulombs per second multiplied by 1 electron for every 1.60 times 10 to the minus 19 coulombs because this is the charge in coulombs of a single electron. So the coulombs cancel leaving us with electrons per second and that is 3.13 times 10 to the 15 electrons every second. Part (b) asks how much charge in total, in coulombs, hits the target in 0.750 seconds? So current is charge divided by time and so we can solve for Q by multiplying both sides by t and we get than that the charge is the current multiplied by time. So that's 0.500 times 10 to the minus 3 amps times 0.750 seconds which is 3.75 times 10 to the minus 4 coulombs.