Question
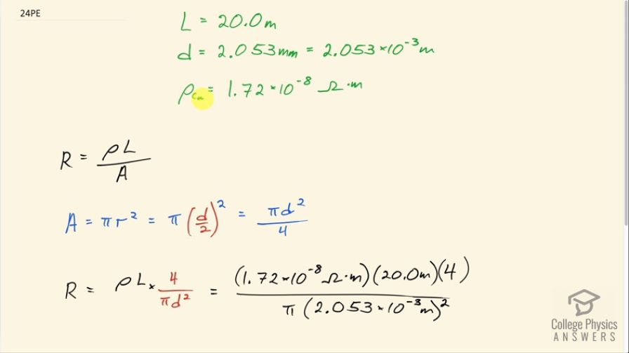
What is the resistance of a 20.0-m-long piece of 12-gauge copper wire having a 2.053-mm diameter?
Final Answer
Solution video
OpenStax College Physics, Chapter 20, Problem 24 (Problems & Exercises)

vote with a rating of
votes with an average rating of
.
Calculator Screenshots
Video Transcript
This is College Physics Answers with Shaun Dychko. We want to know the resistance of a 20.0 meter long cylindrical piece of copper and the diameter of this cylindrical wire is 2.053 millimeters, which we write as 2.053 times 10 to the minus 3 meters. And the resistivity of copper, we have to look that up in table [20.1] so at 20.0 degrees Celsius, the resistivity of copper is 1.72 times 10 to the minus 8 ohm meters. And so this is all the data we need to collect and then we'll plug that into this formula for resistance and resistance then is the resistivity of the type of material, which is copper in this case, times its length divided by the cross-sectional area; this is the resistance of a cylindrical piece of wire. So cross-sectional area is π times the radius squared and the diameter is what we are given though and the radius is half the diameter so I substitute diameter divided by 2 in place of r and squaring that gives π times diameter squared over 4. Now dividing by this fraction is the same as multiplying by its reciprocal so in other words, I am gonna multiply by this fraction flipped over so I am going resistivity times length multiplied by 4 over π times diameter squared. So that's 1.72 times 10 to the minus 8 ohm meters times 20.0 meters—length— multiplied by 4 divided by π times the diameter squared and this gives 0.104 ohms is the resistance of this piece of wire.