Question
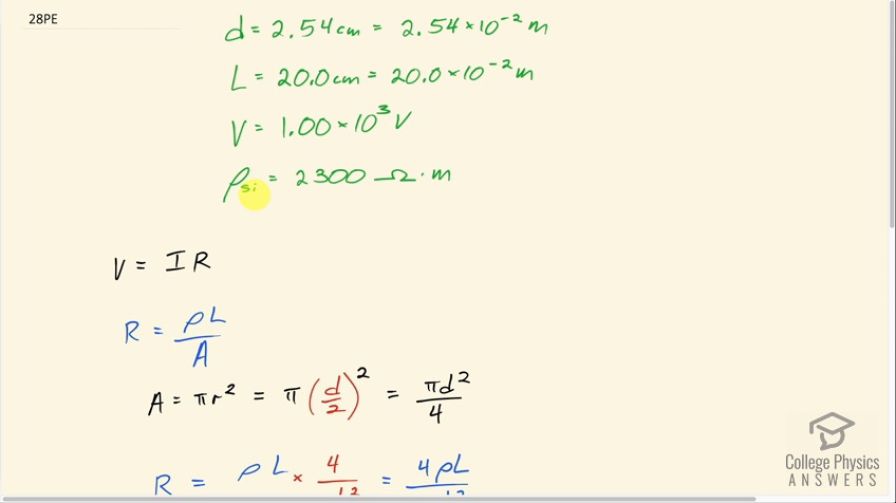
What current flows through a 2.54-cm-diameter rod of pure silicon that is 20.0 cm long, when is applied to it? (Such a rod may be used to make nuclear- particle detectors, for example.)
Final Answer
Solution video
OpenStax College Physics, Chapter 20, Problem 28 (Problems & Exercises)

vote with a rating of
votes with an average rating of
.
Calculator Screenshots
Video Transcript
This is College Physics Answers with Shaun Dychko. We want to know the current that would flow through a 20.0 centimeter long piece of silicon wire that has a diameter of 2.54 centimeters when 1.00 times 10 to the 3 volts is across the ends of the wire. So we convert the centimeters into meters by multiplying each of them by 10 to the minus 2 since that's what the prefix 'centa' means— multiply by 10 to the minus 2— and then we use this formula, Ohm's law, that the voltage across the ends of the wire is the current flowing through it multiplied by its resistance and we'll solve this for current but first let's figure out what the resistance of the wire is and that is going to be resistivity of silicon multiplied by the length of the wire divided by its cross-sectional area. And the resistivity of silicon we looked up in table [20.1] and it's pure silicon so it's this number that we use—2300 ohm meters. And we have to substitute for the cross-sectional area of the wire, it's going to be the area of a circle because it's a cylindrical wire and so that's π times its radius squared but we are not given the radius, we are given the diameter instead so we substitute diameter divided by 2 in place of r and squaring this gives us π times d squared over 4 for the cross-sectional area. So we are going to divide by this fraction but instead I like to multiply by the reciprocal of the fraction because I find that dividing a fraction by a fraction is confusing so I am going to instead multiply by this fraction flipped over. So the resistance then is resistivity times length multiplied by 4 divided by π times diameter squared. So this gets substituted in place of R in this Ohm's law formula. So we are writing that voltage then is current times 4 times resistivity times length of the wire divided by π times its diameter squared and now we can rearrange this to solve for I. So we multiply both sides by πd squared over 4ρL and that's also the current. So the current is the voltage times π times diameter of the wire squared divided by 4 times its resistivity times its length. So that's 1.00 kilovolt multiplied by π times 2.54 times 10 to the minus 2 meters squared divided by 4 times resistivity times the length of the wire and that gives 1.10 milliamps is the current in the silicon wire.