Question
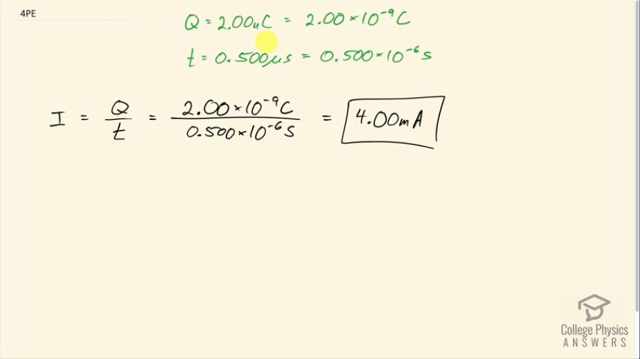
Find the current when 2.00 nC jumps between your comb
and hair over a time interval.
Final Answer
Solution video
OpenStax College Physics, Chapter 20, Problem 4 (Problems & Exercises)

vote with a rating of
votes with an average rating of
.
Calculator Screenshots
Video Transcript
This is College Physics Answers with Shaun Dychko. 2.00 nanocoulombs of charge jumps from a comb to your hair in 0.500 microseconds. So we replace the prefixes with their respective 10 to the power of here and here so we have 10 to the minus 9 coulombs and 10 to the minus 6 seconds and the current is the amount of charge divided by time. So 2.00 times 10 to the minus 9 coulombs of charge moves in 0.500 times 10 to the minus 6 seconds and you divide those two and you get 4.00 milliamps or that could be also written as 4.00 times 10 to the minus 3 amps.