Question
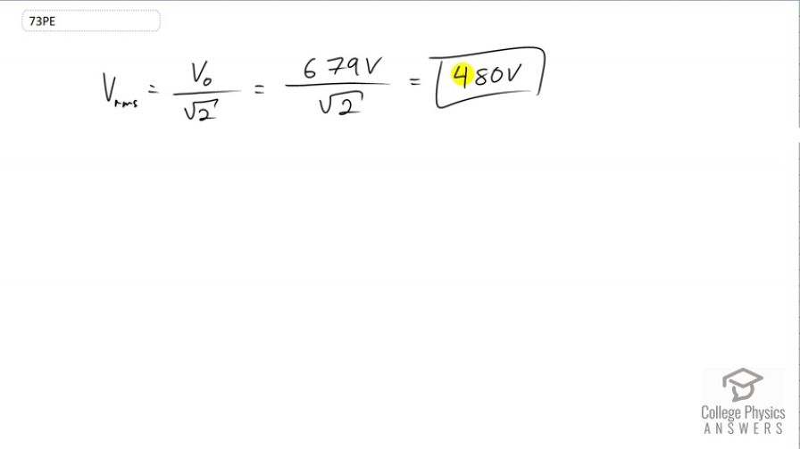
Certain heavy industrial equipment uses AC power that has a peak voltage of 679 V. What is the rms voltage?
Final Answer
Solution video
OpenStax College Physics, Chapter 20, Problem 73 (Problems & Exercises)

vote with a rating of
votes with an average rating of
.
Calculator Screenshots
Video Transcript
This is College Physics Answers with Shaun Dychko. RMS voltage is peak voltage divided by root two. So we have 679 volts divided by root two is 480 volts RMS.