Question
(a) Of what material is a wire made, if it is 25.0 m long with a 0.100 mm diameter and has a resistance of at ? (b) What is its resistance at ?
Final Answer
a) Gold
b)
Solution video
OpenStax College Physics, Chapter 20, Problem 33 (Problems & Exercises)

vote with a rating of
votes with an average rating of
.
Calculator Screenshots
Video Transcript
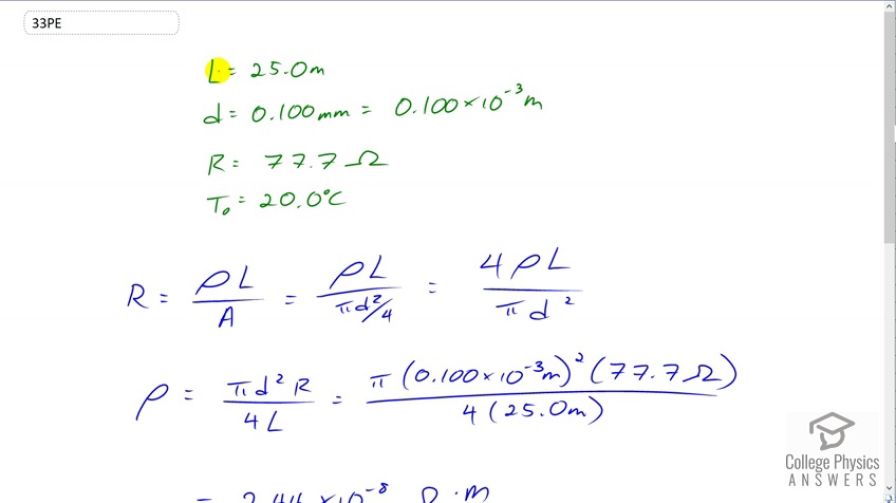
This is College Physics Answers with Shaun Dychko. Going to figure out what material this wire is made out of knowing what its resistance is and its diameter and its length. We know the resistance is the resistivity of the material multiplied by its length divided by its cross-sectional area. We can calculate the area A by multiplying the diameter squared by pi and dividing by four. Then we'll move the four to the numerator by multiplying top and bottom by four here. So we have resistance is four times resistivity times length over pi times diameter squared. Now we're going to solve this for resistivity and then look up in our data table which material has such and such resistivity. So we multiply top and bottom by -- sorry left and right I should say, so we're multiplying this and we're multiplying this by pi d squared over four l. Multiply this by pi d squared over four l as well and we end up with those things canceling. Then on the other side, we have R multiplied by pi d squared over four l and that equals resistivity. So we have pi times 0.1 times ten to the minus three meters diameter after we converted the 0.1 millimeters into meters, we square that and multiply by 77.7 ohms and divide by four times 25 meters length. This gives 2.44 times ten to the minus eight ohm meters which in table 20.1 is the resistivity of gold. So we know the material is gold. Now, we can answer the next question because we know that the temperature coefficient of resistivity should be that of gold here. So we have the resistance after the temperature increases to 150 degrees Celsius will be the original resistance which we are given. It's 77.7 ohms multiplied by one plus the temperature coefficient of resistivity for gold, multiplied by the change in temperature. So we've 77.7 ohms times one plus 3.4 times ten to the minus three reciprocal Celsius degrees, times 150 degrees Celsius minus the initial temperature of 20, giving us 110 ohms at 150 degrees.