Question
When a person sits erect, increasing the vertical position of their brain by 36.0 cm, the heart must continue to pump blood to the brain at the same rate. (a) What is the gain in gravitational potential energy for 100 mL of blood raised 36.0 cm? (b) What is the drop in pressure, neglecting any losses due to friction? (c) Discuss how the gain in gravitational potential energy and the decrease in pressure are related.
Final Answer
- The gain in potential energy is the work done by the force from the heart.
Solution video
OpenStax College Physics for AP® Courses, Chapter 11, Problem 78 (Problems & Exercises)

vote with a rating of
votes with an average rating of
.
Calculator Screenshots
Video Transcript
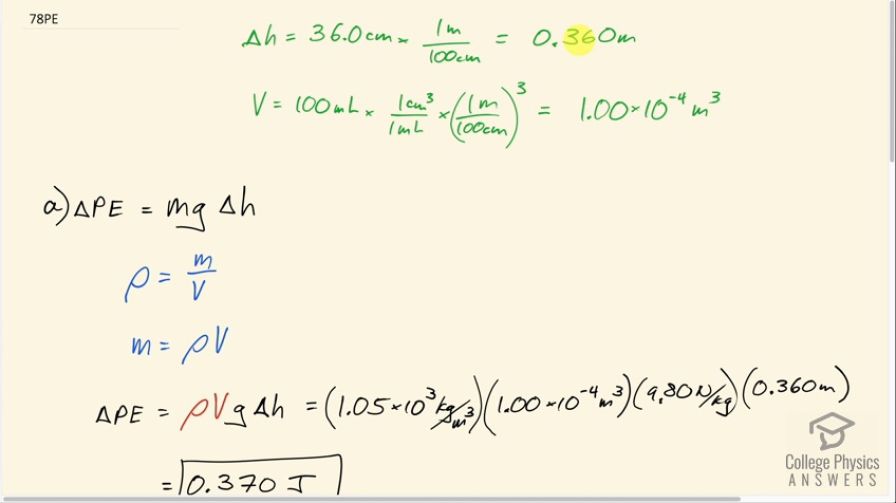
This is College Physics Answers with Shaun Dychko. We imagine that somebody sits upright and raises the height of their brain by 36.0 centimeters which is 0.360 meters and part (a) asks us what would the gain in potential energy be for 100 milliliters of blood assuming that it's been raised up this much? So the change in potential energy would be the mass of the blood times gravitational field strength times the change in height and the mass we can figure out by using this density formula which is that the density of blood is the mass of blood divided by its volume. Since we are given volume and we can figure out the density by looking in table [11.2]— the density of blood is 1.05 times 10 to the 3 kilograms per cubic meter— and so we can substitute in ρ times V in place of m since we can solve for m by multiplying both sides of this by V and then switching the sides around. So we have the change in potential energy is density of blood times the volume that we are given times g times Δh. So this volume in milliliters was converted into cubic meters by multiplying by 1 cubic centimeter for every milliliter and then by 1 meter for every 100 centimeters three times and so we plug in our numbers: 1.05 times 10 to the 3 kilograms per cubic meter—density of blood— times 1.00 times 10 to the minus 4 cubic meters of blood times 9.80 newtons per kilogram times 0.360 meters of change in height and that is 0.370 joules. In part (b), we are asked to figure out what is the pressure change in the brain due to this sitting upright? So initially before sitting up, the pressure in the brain will be the same as the pressure in the heart because they are at the same level and then afterwards, there's gonna be this column of fluid of blood between the heart and the brain and the pressure in the heart is gonna equal the total of the pressure in the brain plus this column of fluid. So that means the pressure in the brain is going to decrease because the pressure in the heart is staying the same and now we are adding this column of fluid to the pressure in the brain and so the pressure in the brain plus the pressure in the fluid is going to total this pressure in the heart and that's what we are saying here. And we can solve for pressure in the brain prime— prime to say, you know, pressure in the brain after sitting up— by subtracting pressure in this column of fluid from both sides and we have this. And so the change in pressure then is this final pressure, P B prime, minus the initial pressure, P B, and then we substitute in place of P B prime with pressure in the heart minus pressure due to the column of fluid and then on a separate step, I replaced P B with P H, pressure in the heart, and so these make zero and we are left with negative pressure of the fluid. Now the pressure for any column of fluid is the fluid density times gravitational field strength times the height of the column. So that's negative 1.05 times 10 to the 3 kilograms per cubic meter times 9.80 newtons per kilogram times 0.360 meters and that is negative 3700 pascals. So the drop in pressure in the brain will be that much. And part (c) asks us, discuss how the change in gravitational potential energy and the decrease in pressure are related? So the gain in potential energy is due to work done by the force from the heart and the force from the heart is causing this pressure over the cross-sectional area of the artery and so this is the force due to the heart times the height and pressure is force per area and so we can replace F with P multiplied by A and that what's this is here and this is a ΔP because it's due to the difference in pressure between the brain and the heart is the pressure causing this column to raise up. So... there we go!