Question
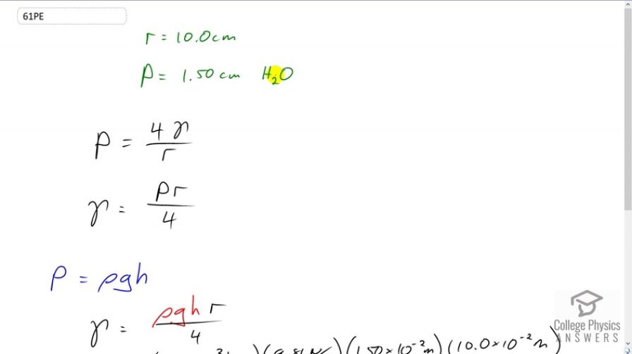
If the gauge pressure inside a rubber balloon with a 10.0-cm radius is 1.50 cm of water, what is the effective surface tension of the balloon?
Final Answer
Solution video
OpenStax College Physics for AP® Courses, Chapter 11, Problem 61 (Problems & Exercises)

vote with a rating of
votes with an average rating of
.
Calculator Screenshots
Video Transcript
This is College physics Answers with Shaun Dychko. The pressure inside a balloon we're told is one and a half centimeters of water. So that means the pressure will raise water in a column up one and a half centimeters in an open tube manometer. But anyway, we're going to convert that into Pascals by using this formula here. So the pressure in a sphere due to surface tension of a liquid is four times the surface tension divided by the radius of the sphere. We can solve this for surface tension by multiplying both sides by r over four. We get gamma is P r over four. The pressure is going to be the pressure due to this column of water which is the density of water times g times its height and so we substitute that in for the pressure. So we have the effective surface tension of the balloon which is sort of the stretchiness of the rubber, is the one times ten to the three kilograms per cubic meter density of water times 9.81 newtons per kilogram, times one and a half centimeters which is times ten to the minus two meters, times ten times ten to the minus two meters height, sorry radius of the balloon, and divide that by four. You get 3.68 newtons per meter. Now this number is a lot more than the surface tensions listed in the data table given to us and we expect that because in the data table we're dealing with surface tensions of liquids whereas this is an elastic soli\d and so we expect the number to be bigger.