Question
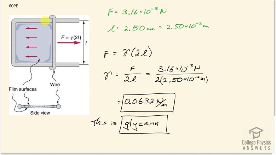
What fluid is in the device shown in Figure 11.28 if the force is and the length of the wire is 2.50 cm? Calculate the surface tension and find a likely match from Table 11.3.
Final Answer
This liquid is glycerin.
Solution video
OpenStax College Physics for AP® Courses, Chapter 11, Problem 60 (Problems & Exercises)

vote with a rating of
votes with an average rating of
.
Calculator Screenshots
Video Transcript
This is College Physics Answers with Shaun Dychko. This device has a sliding wire on this wire frame with a fluid in between here— it is for measuring the surface tension of this fluid— and the force that has to be exerted to keep the wire in place to balance the total force in the surface tension equals the surface tension, γ, times 2 times this length of the surface in contact with the wire. So the force we are told is 3.16 times 10 to the minus 3 newtons and the length of this sliding wire is 2.50 centimeters which I have converted to 2.50 times 10 to the minus 2 meters and we rearrange this formula here to solve for γ and we divide both sides by 2l and then switch the sides around and γ equals force divided by 2 times the length. So that's 3.16 times 10 to the minus 3 newtons divided by 2 times 2.50 times 10 to the minus 2 meters and that's 0.0632 newtons per meter. And if can compare that to our data table for surface tension [11.3], "Glycerin" has a surface tension of close to 0.0632 and this is 0.0631— that's close enough to be a match— this material must be glycerin.