Question
(a) Convert normal blood pressure readings of 120 over 80 mm Hg to newtons per meter squared using the relationship for pressure due to the weight of a fluid (P=hρgP = h \rho g) rather than a conversion factor. (b) Discuss why blood pressures for an infant could be smaller than those for an adult. Specifically, consider the smaller height to which blood must be pumped.
Question by OpenStax is licensed under CC BY 4.0
Final Answer
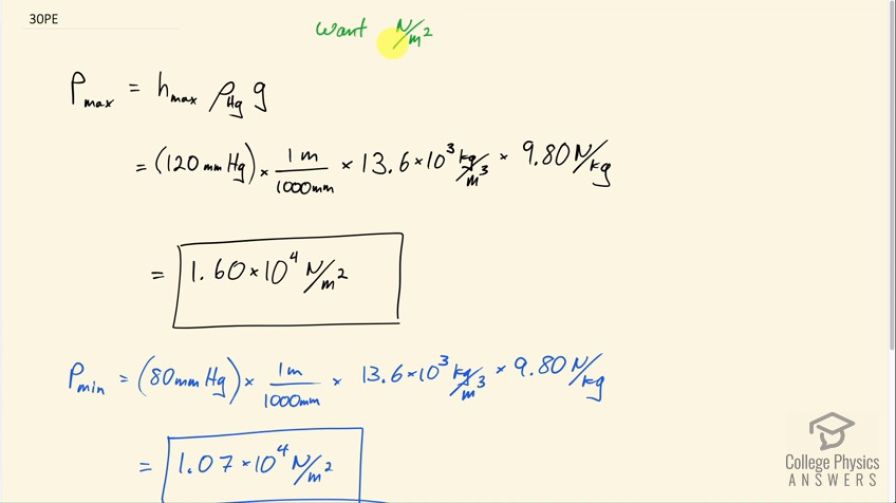
  1. Pmax=1.6×104 N/m2P_{\textrm{max}} = 1.6\times 10^{4} \textrm{ N/m}^2
    Pmin=1.07×104 N/m2P_{\textrm{min}} = 1.07 \times 10^{4}\textrm{ N/m}^2
  2. Since an infant is shorter the height of the column of blood in their body is shorter than that of an adult. This means the heart of an infant doesn't need to create as much pressure to make blood reach their head while standing.

Solution video

OpenStax College Physics for AP® Courses, Chapter 11, Problem 30 (Problems & Exercises)

OpenStax College Physics, Chapter 11, Problem 30 (PE) video thumbnail

In order to watch this solution you need to have a subscription.

Start free trial Log in
vote with a rating of votes with an average rating of .

Calculator Screenshots

  • OpenStax College Physics, Chapter 11, Problem 30 (PE) calculator screenshot 1
Video Transcript
This is College Physics Answers with Shaun Dychko. We want to know what typical blood pressure is in units of newtons per square meter and we are given the pressure in millimeters of mercury (Hg). So the pressure is 120 mm Hg for a maximum and then low pressure is 80 mm Hg. So the pressure is the height of this column of mercury multiplied by mercury's density times gravitational field strength, g. So that's 120 mm Hg which we have to convert into meters because we want newtons per meter squared so we'll multiply by 1 meter for every 1000 millimeters then we have times 13.6 times 10 to the 3 kilograms per cubic meter which is something we looked up in this table [11.1] and it says mercury is 13.6 times 10 to the 3 kilograms per cubic meter. Then multiply by 9.80 newtons per kilogram and that's 1.60 times 10 to the 4 newtons per square meter. The minimum pressure from the heart is 80 mm Hg multiplied by the same factors giving 1.07 times 10 to the 4 newtons per square meter.

Comments

Hey Shaun,
The question states that we are to use the relationship for pressure due to the weight (m*g) rather than a conversion factor, as it appears to be in the video. Is there a different way to get the answer using the weight? Thanks.