Question
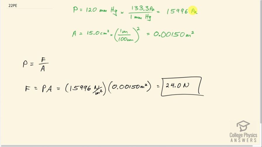
The left side of the heart creates a pressure of 120 mm Hg by exerting a force directly on the blood over an effective area of . What force does it exert to accomplish this?
Final Answer
Solution video
OpenStax College Physics for AP® Courses, Chapter 11, Problem 22 (Problems & Exercises)

vote with a rating of
votes with an average rating of
.
Calculator Screenshots
Video Transcript
This is College Physics Answers with Shaun Dychko. The left side of the heart produces a pressure of 120 mm Hg and we have to convert this into pascals because pascals is a mks unit— meters, kilograms and seconds; pascals is short for newtons per meter squared. So we multiply by 133.3 pascals for every 1 millimeter of mercury and the millimeters of mercury cancel and we are left with 15996 pascals. The area is 15.0 centimeter squared which we have to convert into meter squared by multiplying by 1 meter for every 100 centimeters and we do that multiplying twice and we get 0.00150 square meters is the area. So pressure is force divided by area and so we can find the force by multiplying both sides by A and then switching the sides around and we have F equals pressure times area. So since we have converted our units into mks units that means we'll get newtons in our final answer here. So we have 15996 newtons per square meter times 0.00150 square meters giving us 24.0 newtons is the force the left side of the heart applies on the blood.