Question
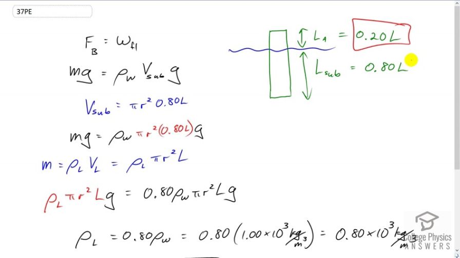
Logs sometimes float vertically in a lake because one end has become water-logged and denser than the other. What is the average density of a uniform-diameter log that floats with 20.0% of its length above water?
Final Answer
Solution video
OpenStax College Physics for AP® Courses, Chapter 11, Problem 37 (Problems & Exercises)

vote with a rating of
votes with an average rating of
.
Video Transcript
This is College Physics Answers with Shaun Dychko. We have a log floating vertically in the water with 20 percent of its total length being above the surface, that means 80 percent of its total length is below the surface. And the buoyant force that it experiences equals the weight of fluid displaced by the submerged portion of the log, and that is Archimedes' principle, and this buoyant force has to equal the weight of the entire log and so this is the mass of the entire log times g and that is going to equal this expression for the buoyant force because this is the mass of water displaced because this is the volume of water displaced is going to be the volume of log submerged, so that’s Vsub for submerged portion of the log volume, and multiplying that by the density of the water to get the water’s mass that has been displaced, and then multiply by g to get that weight. And the volume submerged is going to be the cross sectional area of the log pi r squared multiplied by the length submerged which is 80 percent of its total length or 0.8 times L, L being this total length here. And we substitute that in for Vsub, V submerged, and then the total mass of the log is the log density multiplied by the total volume of the log, so that’s pi r squared times the total length L, and then we substitute that in for m. And we get this line here, a whole bunch of things cancel which is nice, so the pi r squared L g cancels, and we’re left with density of the log is 0.8 times the density of water. That’s 0.8 times one times ten to the three kilograms per cubic meter which is 0.8 times ten to the three kilograms per cubic meter, or we can write that as 800 kilograms per cubic meter and this density is less than that of water which is why the log is floating.