Question
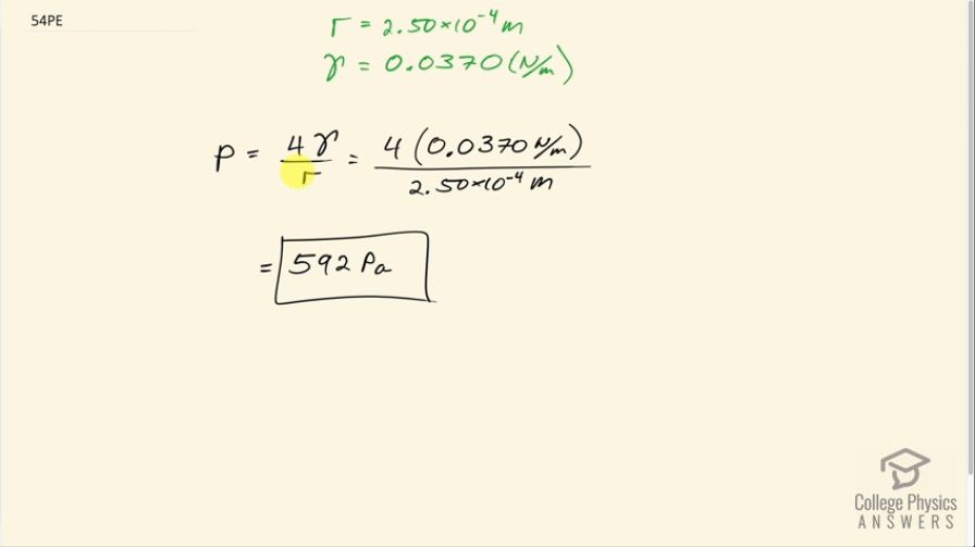
What is the pressure inside an alveolus having a radius of if the surface tension of the fluid-lined wall is the same as for soapy water? You may assume the pressure is the same as that created by a spherical bubble.
Final Answer
Solution video
OpenStax College Physics for AP® Courses, Chapter 11, Problem 54 (Problems & Exercises)

vote with a rating of
votes with an average rating of
.
Calculator Screenshots
Video Transcript
This is College Physics Answers with Shaun Dychko. The pressure inside a bubble or an alveolus in the lungs is 4 times the surface tension divided by the radius. So that's 4 times 0.0370 newtons per meter— surface tension of soapy water according to table [11.3]— and we divide that by the radius of 2.5 times 10 to the minus 4 meters and that's a gauge pressure of 592 pascals.