Question
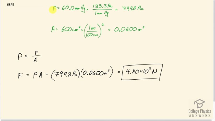
During forced exhalation, such as when blowing up a balloon, the diaphragm and chest muscles create a pressure of 60.0 mm Hg between the lungs and chest wall. What force in newtons does this pressure create on the surface area of the diaphragm?
Final Answer
Solution video
OpenStax College Physics for AP® Courses, Chapter 11, Problem 68 (Problems & Exercises)

vote with a rating of
votes with an average rating of
.
Calculator Screenshots
Video Transcript
This is College Physics Answers with Shaun Dychko. When the lungs are blowing up a balloon or some other type of, you know, intentional forced exhalation, the pressure in the lungs could be 60 millimeters of mercury and the diaphragm has an area of 600 square centimeters and the question is what force is being applied on the diaphragm? So we convert units into mks units at this stage where we are writing down the things that we know in order to not think about these unit conversions later during our work. So we have 60 mm Hg times 133.3 pascals per mm Hg and that is 7998 pascals. The area is 600 square centimeters multiplied by 1 meter for every 100 centimeters twice and that is 0.0600 meter squared. So pressure is force per area and we multiply both sides by A to solve for F. So F then is P times A; 7998 pascals times 0.0600 square meters and that is 4.80 times 10 to the 2 newtons.