Chapter 11

Chapter thumbnail
The fluid essential to all life has a beauty of its own. It also helps support the weight of this swimmer.

Chapter 11 : Fluid Statics - all with Video Solutions

Problems & Exercises

Section 11.2: Density

Problem 2

Mercury is commonly supplied in flasks containing 34.5 kg (about 76 lb). What is the volume in liters of this much mercury?

View solution

Problem 3

(a) What is the mass of a deep breath of air having a volume of 2.00 L? (b) Discuss the effect taking such a breath has on your body's volume and density.

View solution

Problem 4

A straightforward method of finding the density of an object is to measure its mass and then measure its volume by submerging it in a graduated cylinder. What is the density of a 240-g rock that displaces 89.0 cm389.0\textrm{ cm}^3 of water? (Note that the accuracy and practical applications of this technique are more limited than a variety of others that are based on Archimedes’ principle.)

View solution

Problem 5

Suppose you have a coffee mug with a circular cross section and vertical sides (uniform radius). What is its inside radius if it holds 375 g of coffee when filled to a depth of 7.50 cm? Assume coffee has the same density as water.

View solution

Problem 6

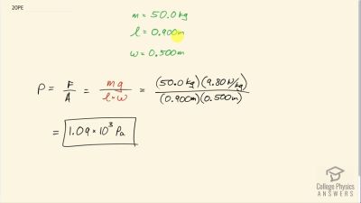
(a) A rectangular gasoline tank can hold 50.0 kg of gasoline when full. What is the depth of the tank if it is 0.500-m wide by 0.900-m long? (b) Discuss whether this gas tank has a reasonable volume for a passenger car.

View solution

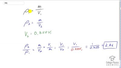
Problem 7

A trash compactor can reduce the volume of its contents to 0.350 their original value. Neglecting the mass of air expelled, by what factor is the density of the rubbish increased?

View solution

Problem 8

A 2.50-kg steel gasoline can holds 20.0 L of gasoline when full. What is the average density of the full gas can, taking into account the volume occupied by steel as well as by gasoline?

View solution

Problem 9

What is the density of 18.0-karat gold that is a mixture of 18 parts gold, 5 parts silver, and 1 part copper? (These values are parts by mass, not volume.) Assume that this is a simple mixture having an average density equal to the weighted densities of its constituents.

View solution

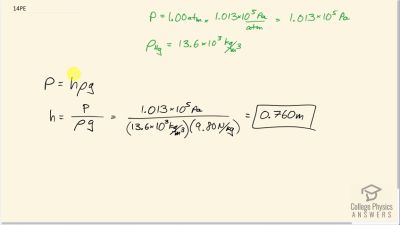
Problem 10

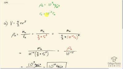
There is relatively little empty space between atoms in solids and liquids, so that the average density of an atom is about the same as matter on a macroscopic scale—approximately 103 kg/m310^3 \textrm{ kg/m}^3. The nucleus of an atom has a radius about 10510^{-5} that of the atom and contains nearly all the mass of the entire atom. (a) What is the approximate density of a nucleus? (b) One remnant of a supernova, called a neutron star, can have the density of a nucleus. What would be the radius of a neutron star with a mass 10 times that of our Sun (the radius of the Sun is 7×108 m7\times 10^{8}\textrm{ m})?

View solution

Section 11.3: Pressure

Problem 11

As a woman walks, her entire weight is momentarily placed on one heel of her high-heeled shoes. Calculate the pressure exerted on the floor by the heel if it has an area of 1.50 cm21.50 \textrm{ cm}^2 and the woman's mass is 55.0 kg. Express the pressure in Pa. (In the early days of commercial flight, women were not allowed to wear high-heeled shoes because aircraft floors were too thin to withstand such large pressures.)

View solution

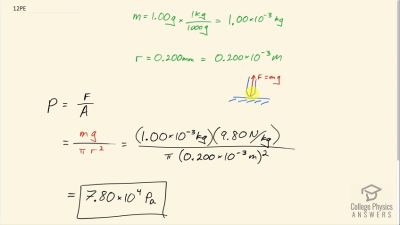
Problem 12

The pressure exerted by a phonograph needle on a record is surprisingly large. If the equivalent of 1.00 g is supported by a needle, the tip of which is a circle 0.200 mm in radius, what pressure is exerted on the record in N/m2\textrm{N/m}^2?

View solution

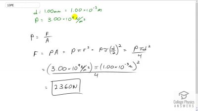
Problem 13

Nail tips exert tremendous pressures when they are hit by hammers because they exert a large force over a small area. What force must be exerted on a nail with a circular tip of 1.00 mm diameter to create a pressure of 3.00×109 N/m23.00 \times 10^9 \textrm{ N/m}^2 (This high pressure is possible because the hammer striking the nail is brought to rest in such a short distance.)

View solution

Section 11.4: Variation of Pressure with Depth in a Fluid

Problem 15

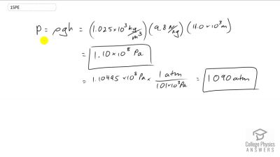
The greatest ocean depths on the Earth are found in the Marianas Trench near the Philippines. Calculate the pressure due to the ocean at the bottom of this trench, given its depth is 11.0 km and assuming the density of seawater is constant all the way down.

View solution

Problem 17

Water towers store water above the level of consumers for times of heavy use, eliminating the need for high-speed pumps. How high above a user must the water level be to create a gauge pressure of 3.00×105 N3.00 \times 10^5 \textrm{ N}?

View solution

Problem 18

The aqueous humor in a person’s eye is exerting a force of 0.300 N on the 1.10 cm21.10 \textrm{ cm}^2 area of the cornea. (a) What pressure is this in mm Hg? (b) Is this value within the normal range for pressures in the eye?

View solution

Problem 19

How much force is exerted on one side of an 8.50 cm by 11.0 cm sheet of paper by the atmosphere? How can the paper withstand such a force?

View solution

Problem 20

What pressure is exerted on the bottom of a 0.500-m- wide by 0.900-m-long gas tank that can hold 50.0 kg of gasoline by the weight of the gasoline in it when it is full?

View solution

Problem 21

Calculate the average pressure exerted on the palm of a shot-putter's hand by the shot if the area of contact is 50.0 cm250.0 \textrm{ cm}^2 and he exerts a force of 800 N on it. Express the pressure in  N/m2\textrm{ N/m}^2 and compare it with the 1.00×106 Pa1.00 \times 10^6 \textrm{ Pa} pressures sometimes encountered in the skeletal system.

View solution

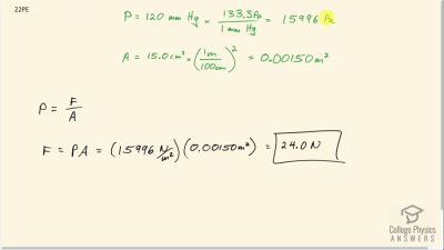
Problem 22

The left side of the heart creates a pressure of 120 mm Hg by exerting a force directly on the blood over an effective area of 15.0 cm215.0\textrm{ cm}^2. What force does it exert to accomplish this?

View solution

Problem 23

Show that the total force on a rectangular dam due to the water behind it increases with the square of the water depth. In particular, show that this force is given by F=ρgh2L2F= \dfrac{\rho g h^2 L}{2} , where ρ\rho is the density of water, hh is its depth at the dam, and LL is the length of the dam. You may assume the face of the dam is vertical. (Hint: Calculate the average pressure exerted and multiply this by the area in contact with the water. (See Figure 11.45.)

View solution

Section 11.5: Pascal's Principle

Problem 24

How much pressure is transmitted in the hydraulic system considered in Example 11.6? Express your answer in pascals and in atmospheres. Example 11.6 Consider the automobile hydraulic system shown in Figure 11.13. A force of 100 N is applied to the brake pedal, which acts on the cylinder—called the master—through a lever. A force of 500 N is exerted on the master cylinder. Pressure created in the master cylinder is transmitted to four so-called slave cylinders. The master cylinder has a diameter of 0.500 cm, and each slave cylinder has a diameter of 2.50 cm.

View solution

Problem 25

What force must be exerted on the master cylinder of a hydraulic lift to support the weight of a 2000-kg car (a large car) resting on the slave cylinder? The master cylinder has a 2.00-cm diameter and the slave has a 24.0-cm diameter.

View solution

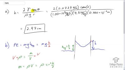
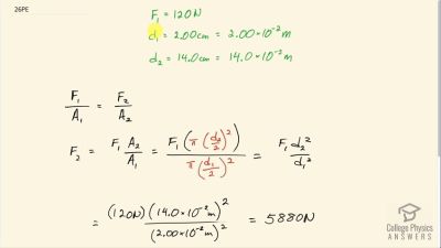
Problem 26

A crass host pours the remnants of several bottles of wine into a jug after a party. He then inserts a cork with a 2.00-cm diameter into the bottle, placing it in direct contact with the wine. He is amazed when he pounds the cork into place and the bottom of the jug (with a 14.0-cm diameter) breaks away. Calculate the extra force exerted against the bottom if he pounded the cork with a 120-N force.

View solution

Problem 27

A certain hydraulic system is designed to exert a force 100 times as large as the one put into it. (a) What must be the ratio of the area of the slave cylinder to the area of the master cylinder? (b) What must be the ratio of their diameters? (c) By what factor is the distance through which the output force moves reduced relative to the distance through which the input force moves? Assume no losses to friction.

View solution

Problem 28

(a) Verify that work input equals work output for a hydraulic system assuming no losses to friction. Do this by showing that the distance the output force moves is reduced by the same factor that the output force is increased. Assume the volume of the fluid is constant. (b) What effect would friction within the fluid and between components in the system have on the output force? How would this depend on whether or not the fluid is moving?

View solution

Section 11.6: Gauge Pressure, Absolute Pressure, and Pressure Measurement

Problem 29

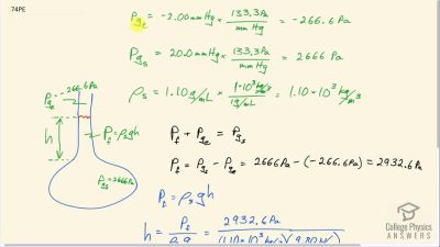
Find the gauge and absolute pressures in the balloon and peanut jar shown in Figure 11.19, assuming the manometer connected to the balloon uses water whereas the manometer connected to the jar contains mercury. Express in units of centimeters of water for the balloon and millimeters of mercury for the jar, taking h=0.0500 mh = 0.0500 \textrm{ m} for each.

View solution

Problem 30

(a) Convert normal blood pressure readings of 120 over 80 mm Hg to newtons per meter squared using the relationship for pressure due to the weight of a fluid (P=hρgP = h \rho g) rather than a conversion factor. (b) Discuss why blood pressures for an infant could be smaller than those for an adult. Specifically, consider the smaller height to which blood must be pumped.

View solution

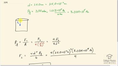
Problem 32

Pressure cookers have been around for more than 300 years, although their use has strongly declined in recent years (early models had a nasty habit of exploding). How much force must the latches holding the lid onto a pressure cooker be able to withstand if the circular lid is 25.0 cm in diameter and the gauge pressure inside is 3 atm? Neglect the weight of the lid.

View solution

Problem 33

Suppose you measure a standing person's blood pressure by placing the cuff on his leg 0.500 m below the heart. Calculate the pressure you would observe (in units of mm Hg) if the pressure at the heart were 120 over 80 mm Hg. Assume that there is no loss of pressure due to resistance in the circulatory system (a reasonable assumption, since major arteries are large).

View solution

Problem 34

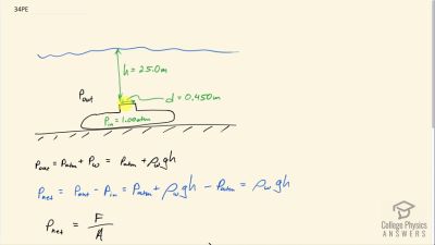
A submarine is stranded on the bottom of the ocean with its hatch 25.0 m below the surface. Calculate the force needed to open the hatch from the inside, given it is circular and 0.450 m in diameter. Air pressure inside the submarine is 1.00 atm.

View solution

Problem 35

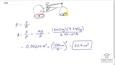
Assuming bicycle tires are perfectly flexible and support the weight of bicycle and rider by pressure alone, calculate the total area of the tires in contact with the ground. The bicycle plus rider has a mass of 80.0 kg, and the gauge pressure in the tires is 3.50×105 Pa3.50 \times 10^5 \textrm{ Pa}.

View solution

Section 11.7: Archimedes' Principle

Problem 36

What fraction of ice is submerged when it floats in freshwater, given the density of water at 0 C0^\circ\textrm{ C} is very close to 1000 kg/m31000 \textrm{ kg/m}^3

View solution

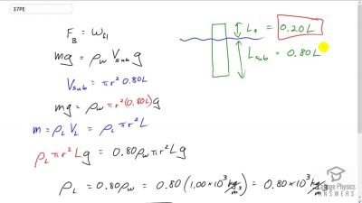
Problem 37

Logs sometimes float vertically in a lake because one end has become water-logged and denser than the other. What is the average density of a uniform-diameter log that floats with 20.0% of its length above water?

View solution

Problem 39

If your body has a density of 995 kg/m3995 \textrm{ kg/m}^3, what fraction of you will be submerged when floating gently in: (a) Freshwater? (b) Salt water, which has a density of 1027 kg/m31027 \textrm{ kg/m}^3 ?

View solution

Problem 40

Bird bones have air pockets in them to reduce their weight—this also gives them an average density significantly less than that of the bones of other animals. Suppose an ornithologist weighs a bird bone in air and in water and finds its mass is 45.0 g45.0\textrm{ g} and its apparent mass when submerged is 3.60 g3.60\textrm{ g} (the bone is watertight). (a) What mass of water is displaced? (b) What is the volume of the bone? (c) What is its average density?

View solution

Problem 41

A rock with a mass of 540 g in air is found to have an apparent mass of 342 g when submerged in water. (a) What mass of water is displaced? (b) What is the volume of the rock? (c) What is its average density? Is this consistent with the value for granite?

View solution

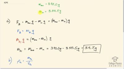
Problem 42

Archimedes’ principle can be used to calculate the density of a fluid as well as that of a solid. Suppose a chunk of iron with a mass of 390.0 g in air is found to have an apparent mass of 350.5 g when completely submerged in an unknown liquid. (a) What mass of fluid does the iron displace? (b) What is the volume of iron, using its density as given in Table 11.1 (c) Calculate the fluid’s density and identify it.

View solution

Problem 43

In an immersion measurement of a woman's density, she is found to have a mass of 62.0 kg in air and an apparent mass of 0.0850 kg when completely submerged with lungs empty. (a) What mass of water does she displace? (b) What is her volume? (c) Calculate her density. (d) If her lung capacity is 1.75 L, is she able to float without treading water with her lungs filled with air?

View solution

Problem 44

Some fish have a density slightly less than that of water and must exert a force (swim) to stay submerged. What force must an 85.0-kg grouper exert to stay submerged in salt water if its body density is 1015 kg/m31015 \textrm{ kg/m}^3?

View solution

Problem 45

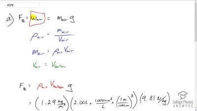
(a) Calculate the buoyant force on a 2.00-L helium balloon. (b) Given the mass of the rubber in the balloon is 1.50 g, what is the net vertical force on the balloon if it is let go? You can neglect the volume of the rubber.

View solution

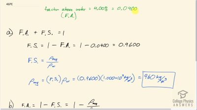
Problem 46

(a) What is the density of a woman who floats in freshwater with 4.00% of her volume above the surface? This could be measured by placing her in a tank with marks on the side to measure how much water she displaces when floating and when held under water (briefly). (b) What percent of her volume is above the surface when she floats in seawater?

View solution

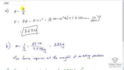
Problem 47

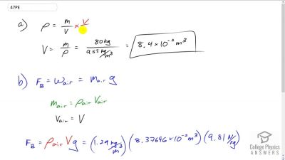
A certain man has a mass of 80 kg and a density of 955 kg/m3955 \textrm{ kg/m}^3 (excluding the air in his lungs). (a) Calculate his volume. (b) Find the buoyant force air exerts on him. (c) What is the ratio of the buoyant force to his weight?

View solution

Problem 48

A simple compass can be made by placing a small bar magnet on a cork floating in water. (a) What fraction of a plain cork will be submerged when floating in water? (b) If the cork has a mass of 10.0 g and a 20.0-g magnet is placed on it, what fraction of the cork will be submerged? (c) Will the bar magnet and cork float in ethyl alcohol?

View solution

Problem 50

Scurrilous con artists have been known to represent gold- plated tungsten ingots as pure gold and sell them to the greedy at prices much below gold value but deservedly far above the cost of tungsten. With what accuracy must you be able to measure the mass of such an ingot in and out of water to tell that it is almost pure tungsten rather than pure gold?

View solution

Problem 51

A twin-sized air mattress used for camping has dimensions of 100 cm by 200 cm by 15 cm when blown up. The weight of the mattress is 2 kg. How heavy a person could the air mattress hold if it is placed in freshwater?

View solution

Problem 52

Referring to Figure 11.20, prove that the buoyant force on the cylinder is equal to the weight of the fluid displaced (Archimedes’ principle). You may assume that the buoyant force is F2F1F_2 - F_1 and that the ends of the cylinder have equal areas AA. Note that the volume of the cylinder (and that of the fluid it displaces) equals (h2h1)A(h_2 - h_1)A.

View solution

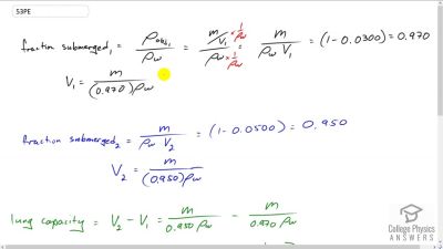
Problem 53

(a) A 75.0-kg man floats in freshwater with 3.00% of his volume above water when his lungs are empty, and 5.00% of his volume above water when his lungs are full. Calculate the volume of air he inhales—called his lung capacity—in liters. (b) Does this lung volume seem reasonable?

View solution

Section 11.8: Cohesion and Adhesion in Liquids: Surface Tension and Capillary Action

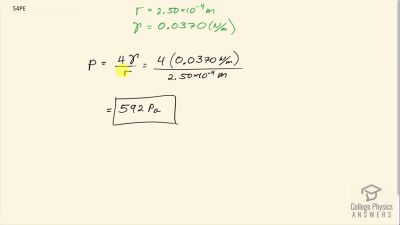
Problem 54

What is the pressure inside an alveolus having a radius of 2.50×104 m2.50\times 10^{-4}\textrm{ m} if the surface tension of the fluid-lined wall is the same as for soapy water? You may assume the pressure is the same as that created by a spherical bubble.

View solution

Problem 55

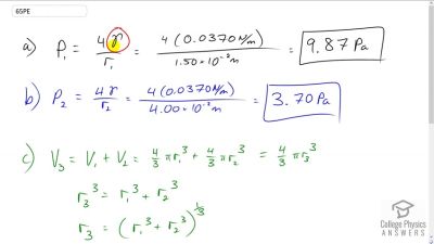
(a) The pressure inside an alveolus with a 2.00×104 m2.00 \times 10^{-4} \textrm{ m} radius is 1.40×103 Pa1.40 \times 10^3 \textrm{ Pa}, due to its fluid-lined walls. Assuming the alveolus acts like a spherical bubble, what is the surface tension of the fluid? (b) Identify the likely fluid. (You may need to extrapolate between values in Table 11.3.)

View solution

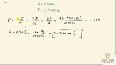
Problem 58

Figure 11.34(a) shows the effect of tube radius on the height to which capillary action can raise a fluid. (a) Calculate the height hh for water in a glass tube with a radius of 0.900 cm—a rather large tube like the one on the left. (b) What is the radius of the glass tube on the right if it raises water to 4.00 cm?

View solution

Problem 59

We stated in Example 11.12 that a xylem tube is of radius 2.50×105 m2.50 \times 10^{-5} \textrm{ m}. Verify that such a tube raises sap less than a meter by finding hh for it, making the same assumptions that sap's density is 1050 kg/m31050 \textrm{ kg/m}^3 , its contact angle is zero, and its surface tension is the same as that of water at 20.0C20.0^\circ\textrm{C}.

View solution

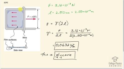
Problem 60

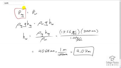
What fluid is in the device shown in Figure 11.28 if the force is 3.16×103 N3.16 \times 10^{-3}\textrm{ N} and the length of the wire is 2.50 cm? Calculate the surface tension γ\gamma and find a likely match from Table 11.3.

View solution

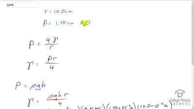
Problem 61

If the gauge pressure inside a rubber balloon with a 10.0-cm radius is 1.50 cm of water, what is the effective surface tension of the balloon?

View solution

Problem 62

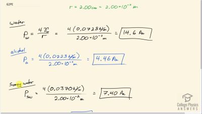
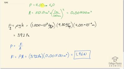
Calculate the gauge pressures inside 2.00-cm-radius bubbles of water, alcohol, and soapy water. Which liquid forms the most stable bubbles, neglecting any effects of evaporation?

View solution

Problem 63

Suppose water is raised by capillary action to a height of 5.00 cm in a glass tube. (a) To what height will it be raised in a paraffin tube of the same radius? (b) In a silver tube of the same radius?

View solution

Problem 64

Calculate the contact angle θ\theta for olive oil if capillary action raises it to a height of 7.07 cm in a glass tube with a radius of 0.100 mm. Is this value consistent with that for most organic liquids?

View solution

Problem 65

When two soap bubbles touch, the larger is inflated by the smaller until they form a single bubble. (a) What is the gauge pressure inside a soap bubble with a 1.50-cm radius? (b) Inside a 4.00-cm-radius soap bubble? (c) Inside the single bubble they form if no air is lost when they touch?

View solution

Section 11.9: Pressures in the Body

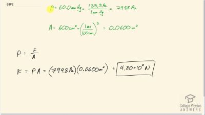
Problem 68

During forced exhalation, such as when blowing up a balloon, the diaphragm and chest muscles create a pressure of 60.0 mm Hg between the lungs and chest wall. What force in newtons does this pressure create on the 600 cm2600 \textrm{ cm}^2 surface area of the diaphragm?

View solution

Problem 69

You can chew through very tough objects with your incisors because they exert a large force on the small area of a pointed tooth. What pressure in pascals can you create by exerting a force of 500 N500 \textrm{ N} with your tooth on an area of 1.00 mm21.00 \textrm{ mm}^2?

View solution

Problem 70

One way to force air into an unconscious person’s lungs is to squeeze on a balloon appropriately connected to the subject. What force must you exert on the balloon with your hands to create a gauge pressure of 4.00 cm water, assuming you squeeze on an effective area of 50.0 cm250.0\textrm{ cm}^2?

View solution

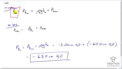
Problem 71

Heroes in movies hide beneath water and breathe through a hollow reed (villains never catch on to this trick). In practice, you cannot inhale in this manner if your lungs are more than 60.0 cm below the surface. What is the maximum negative gauge pressure you can create in your lungs on dry land, assuming you can achieve -3.00 cm water pressure with your lungs 60.0 cm below the surface?

View solution

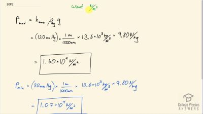
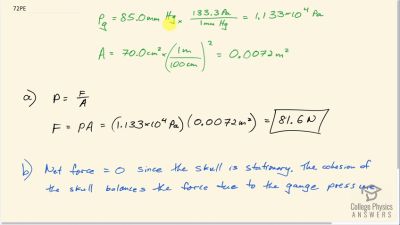
Problem 72

Gauge pressure in the fluid surrounding an infant’s brain may rise as high as 85.0 mm Hg (5 to 12 mm Hg is normal), creating an outward force large enough to make the skull grow abnormally large. (a) Calculate this outward force in newtons on each side of an infant’s skull if the effective area of each side is 70.0 cm270.0\textrm{ cm}^2 . (b) What is the net force acting on the skull?

View solution

Problem 73

A full-term fetus typically has a mass of 3.50 kg. (a) What pressure does the weight of such a fetus create if it rests on the mother's bladder, supported on an area of 90.0 cm290.0 \textrm{ cm}^2? (b) Convert this pressure to millimeters of mercury and determine if it alone is great enough to trigger the micturition reflex (it will add to any pressure already existing in the bladder).

View solution

Problem 74

If the pressure in the esophagus is −2.00 mm Hg while that in the stomach is +20.0 mm Hg , to what height could stomach fluid rise in the esophagus, assuming a density of 1.10 g/mL? (This movement will not occur if the muscle closing the lower end of the esophagus is working properly.)

View solution

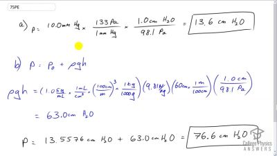
Problem 75

Pressure in the spinal fluid is measured as shown in Figure 11.46. If the pressure in the spinal fluid is 10.0 mm Hg: (a) What is the reading of the water manometer in cm water? (b) What is the reading if the person sits up, placing the top of the fluid 60 cm above the tap? The fluid density is 1.05 g/mL.

View solution

Problem 76

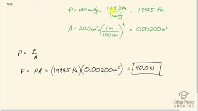
Calculate the maximum force in newtons exerted by the blood on an aneurysm, or ballooning, in a major artery, given the maximum blood pressure for this person is 150 mm Hg and the effective area of the aneurysm is 20.0 cm220.0 \textrm{ cm}^2. Note that this force is great enough to cause further enlargement and subsequently greater force on the ever-thinner vessel wall.

View solution

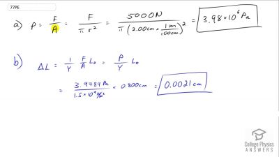
Problem 77

During heavy lifting, a disk between spinal vertebrae is subjected to a 5000-N compressional force. (a) What pressure is created, assuming that the disk has a uniform circular cross section 2.00 cm in radius? (b) What deformation is produced if the disk is 0.800 cm thick and has a Young's modulus of 1.5×109 N/m21.5 \times 10^9 \textrm{ N/m}^2?

View solution

Problem 78

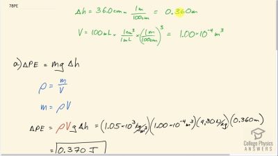
When a person sits erect, increasing the vertical position of their brain by 36.0 cm, the heart must continue to pump blood to the brain at the same rate. (a) What is the gain in gravitational potential energy for 100 mL of blood raised 36.0 cm? (b) What is the drop in pressure, neglecting any losses due to friction? (c) Discuss how the gain in gravitational potential energy and the decrease in pressure are related.

View solution

Problem 79

(a) How high will water rise in a glass capillary tube with a 0.500-mm radius? (b) How much gravitational potential energy does the water gain? (c) Discuss possible sources of this energy.

View solution

Problem 80

A negative pressure of 25.0 atm can sometimes be achieved with the device in Figure 11.43 before the water separates. (a) To what height could such a negative gauge pressure raise water? (b) How much would a steel wire of the same diameter and length as this capillary stretch if suspended from above?

View solution

Problem 81

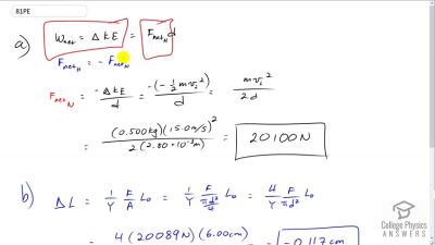
Suppose you hit a steel nail with a 0.500-kg hammer, initially moving at 15.0 m/s15.0 \textrm{ m/s} and brought to rest in 2.80 mm. (a) What average force is exerted on the nail? (b) How much is the nail compressed if it is 2.50 mm in diameter and 6.00-cm long? (c) What pressure is created on the 1.00-mm- diameter tip of the nail?

View solution

Problem 82

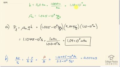
Calculate the pressure due to the ocean at the bottom of the Marianas Trench near the Philippines, given its depth is 11.0 km and assuming the density of sea water is constant all the way down. (b) Calculate the percent decrease in volume of sea water due to such a pressure, assuming its bulk modulus is the same as water and is constant. (c) What would be the percent increase in its density? Is the assumption of constant density valid? Will the actual pressure be greater or smaller than that calculated under this assumption?

View solution

Problem 83

The hydraulic system of a backhoe is used to lift a load as shown in Figure 11.48. (a) Calculate the force FsF_s the slave cylinder must exert to support the 400-kg load and the 150-kg brace and shovel. (b) What is the pressure in the hydraulic fluid if the slave cylinder is 2.50 cm in diameter? (c) What force would you have to exert on a lever with a mechanical advantage of 5.00 acting on a master cylinder 0.800 cm in diameter to create this pressure?

View solution

Problem 84

Some miners wish to remove water from a mine shaft. A pipe is lowered to the water 90 m below, and a negative pressure is applied to raise the water. (a) Calculate the pressure needed to raise the water. (b) What is unreasonable about this pressure? (c) What is unreasonable about the premise?

View solution

Problem 85

You are pumping up a bicycle tire with a hand pump, the piston of which has a 2.00-cm radius. (a) What force in newtons must you exert to create a pressure of 6.90×105 Pa6.90 \times 10^5 \textrm{ Pa} (b) What is unreasonable about this (a) result? (c) Which premises are unreasonable or inconsistent?

View solution

Test Prep for AP® Courses

Section 11.2: Density

Problem 1 (AP)

An under-inflated volleyball is pumped full of air so that its radius increases by 10%. Ignoring the mass of the air inserted into the ball, what will happen to the volleyball's density?
  1. The density of the volleyball will increase by approximately 25%.
  2. The density of the volleyball will increase by approximately 10%.
  3. The density of the volleyball will decrease by approximately 10%.
  4. The density of the volleyball will decrease by approximately 17%.
  5. The density of the volleyball will decrease by approximately 25%.

View solution

Problem 2 (AP)

A piece of aluminum foil has a known surface density of 15 g/cm215\textrm{ g/cm}^2. If a 100-gram hollow cube were constructed using this foil, determine the approximate side length of this cube.
  1. 1.05 cm
  2. 1.10 cm
  3. 2.6 cm
  4. 6.67 cm
  5. 15 cm

View solution

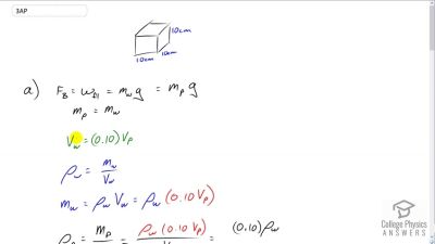
Problem 3 (AP)

A cube of polystyrene measuring 10 cm per side lies partially submerged in a large container of water.
  1. If 90% of the polystyrene floats above the surface of the water, what is the density of the polystyrene? (Note: The density of water is 1000 kg/m3.)
  2. A 0.5 kg mass is placed on the block of polystyrene. What percentage of the block now remains above water?
  3. The water is poured out of the container and replaced with ethyl alcohol (density = 790 kg/m3).
    1. Will the block be able to remain partially submerged in this new fluid? Explain.
    2. Will the block be able to remain partially submerged in this new fluid with the 0.5 kg mass placed on top? Explain.
  4. Without using a container of water, explain how you could determine the density of the polystyrene mentioned above if the material instead were spherical.

View solution

Problem 4 (AP)

Four spheres are hung from a variety of different springs. Table 11.6 below describes the characteristics of both the spheres and the springs from which they are hung. Rank the densities of the objects listed below, from greatest to least. Show work supporting your ranking.

View solution

Section 11.3: Pressure

Problem 5 (AP)

A cylindrical drum of radius 0.5 m is used to hold 400 liters of petroleum ether (density = .68 g/mL or 680 kg/m3680 \textrm{ kg/m}^3). (Note: 1 liter=0.001 m31 \textrm{ liter} = 0.001 \textrm{ m}^3)
  1. Determine the amount of pressure applied to the walls of the drum if the petroleum ether fills the drum to its top.
  2. Determine the amount of pressure applied to the floor of the drum if the petroleum ether fills the drum to its top.
  3. If the drum were redesigned to hold 800 liters of petroleum ether:
    1. How would the pressure on the walls change? Would it increase, decrease, or stay the same?
    2. How would the pressure on the floor change? Would it increase, decrease, or stay the same?

View solution