Question
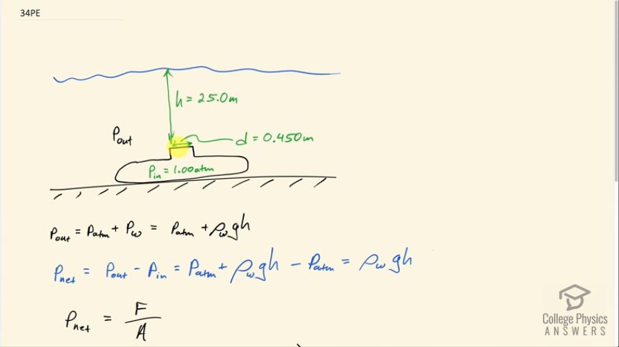
A submarine is stranded on the bottom of the ocean with its hatch 25.0 m below the surface. Calculate the force needed to open the hatch from the inside, given it is circular and 0.450 m in diameter. Air pressure inside the submarine is 1.00 atm.
Final Answer
Solution video
OpenStax College Physics for AP® Courses, Chapter 11, Problem 34 (Problems & Exercises)

vote with a rating of
votes with an average rating of
.
Calculator Screenshots
Video Transcript
This is College Physics Answers with Shaun Dychko. A submarine is 25.0 meters below the surface of the ocean and there's a hatch in the submarine that is 0.450 meters in diameter and the question is what force would someone have to apply upwards to open this hatch? The pressure inside this submarine is 1.00 atmosphere and we want to know what the pressure is outside and then find the net pressure— the difference between the two— because that will be the force that's being exerted downwards on the hatch. So this pressure outside the hatch is due to this column of water plus the atmosphere so there's a column of air here plus a column of water and those two pressure's due to those two columns of fluid add together and so we have a total of P atmosphere plus P w is the pressure outside the hatch. The pressure due to the water is the density of water and that is seawater so we are gonna be using 1.025 times 10 to the 3 kilograms per cubic meter there; this is ρ of seawater times g times h. And the net pressure is the outside pressure minus the pressure inside the submarine and then these atmospheric pressure's, you know, subtract to make zero so the net pressure is density of water times g times h. So this net pressure equals the force downwards on the hatch divided by the hatch's area and we'll solve for the force by multiplying both sides by A so the force is the pressure due to the column of water times π times the radius of the hatch which is diameter divided by 2 squared. So that's 1.025 times 10 to the 3 kilograms per cubic meter—density of seawater— times 9.80 newtons per kilogram times 25.0 meters—depth—times π times half the diameter squared and that is 3.99 times 10 to the 4 newtons which is an enormous amount of force. It is like, you know, more than 4000 kilograms worth of weight and so yeah that's not possible for a person to open.