Question
Calculate the ratio of the heights to which water and mercury are raised by capillary action in the same glass tube.
Final Answer
This ratio is negative since the height of mercury is negative. The height of the mercury within the glass tube is lower than the surrounding mercury outside of the tube.
Solution video
OpenStax College Physics for AP® Courses, Chapter 11, Problem 66 (Problems & Exercises)

vote with a rating of
votes with an average rating of
.
Calculator Screenshots
Video Transcript
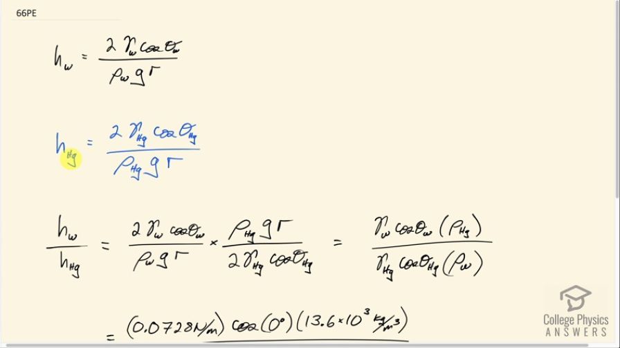
This is College Physics Answers with Shaun Dychko. A glass tube is inserted into some water and then it's inserted separately into some mercury and the question here is what is the ratio of heights due to capillary action that the two fluids will reach? So we are taking a ratio of the water height in the glass tube versus the mercury height in the glass tube. So the height is 2 times the surface tension of the fluid, which is water in the first case here, times cosine of the contact angle between the fluid and the material of the tube so water and glass divided by the density of water times g times the radius of the tube. Now I didn't put a subscript w on the radius because that doesn't depend on the fluid— that's the same in both cases— it's the same tube and the same radius so there's no need to distinguish it with a subscript. And so the height for mercury is 2 times the surface tension of mercury times cos of the contact angle between mercury and glass divided by density of mercury times g times r. So we divide these two heights and it's confusing to divide a fraction by a fraction so instead I am going to multiply it by the reciprocal of the denominator so this height for mercury is going to be written here flipped over and multiplied. And so the r's cancel, the g's cancel and the 2's cancel and we are left with the ratio of heights is surface tension of water times cos of the contact angle times density of mercury and then divided by surface tension of mercury times cos of its contact angle with glass and then density of water. So we look up all these things in our data tables. So we have surface tension of water and we find that in table [11.3]— that's 0.0728 newtons per meter— multiplied by cos of the contact angle between water and glass— water-glass contact angle is 0 degrees— multiplied by 13.6 times 10 to the 3 kilograms per cubic meter density of mercury which we found in table [11.1]— mercury density is 13.6 times 10 to the 3 kilograms per cubic meter— and divide that by the surface tension of mercury which is very high, 0.465, compared to 0.0728 for water— and that is shown here... 0.465 newtons per meter— times cos of 140 degrees is the contact angle between mercury and glass and then multiply by the density of water— 1.000 times 10 to the 3 kilograms per cubic meter— this works out to negative 2.78. And the reason this is negative is because this height is negative; the mercury goes down compared to the fluid level outside the tube so if this is the tube and this is the fluid here, mercury would be lower than the surrounding fluid level. So this little height here is h Hg and it's negative because it's down. Okay and there we go!