Question
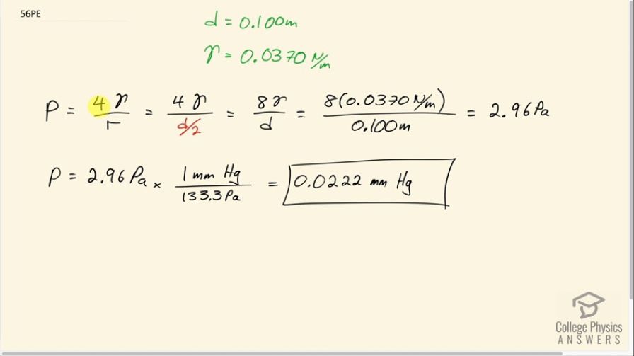
What is the gauge pressure in millimeters of mercury inside a soap bubble 0.100 m in diameter?
Final Answer
Solution video
OpenStax College Physics for AP® Courses, Chapter 11, Problem 56 (Problems & Exercises)

vote with a rating of
votes with an average rating of
.
Calculator Screenshots
Video Transcript
This is College Physics Answers with Shaun Dychko. Given a soap bubble with a diameter of 0.1 meters, what is the gauge pressure inside? So the gauge pressure is four times the surface tension of soapy water divided by the radius of the bubble and the surface tension we look up in table [11.3] and it is 0.0370 newtons per meter. And so we have 4 times γ divided by half the diameter which is 8γ over d. So that's 8 times 0.0370 newtons per meter divided by 0.100 meters and that is 2.96 pascals. Now the question asks us to give the answer in millimeters of mercury so we multiply by this conversion factor of 1 mm Hg for every 133.3 pascals and that is 0.0222 mm Hg.