Question
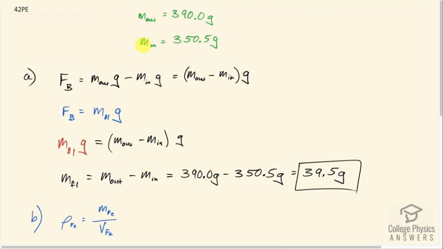
Archimedes’ principle can be used to calculate the density of a fluid as well as that of a solid. Suppose a chunk of iron with a mass of 390.0 g in air is found to have an apparent mass of 350.5 g when completely submerged in an unknown liquid. (a) What mass of fluid does the iron displace? (b) What is the volume of iron, using its density as given in Table 11.1 (c) Calculate the fluid’s density and identify it.
Final Answer
- . This is ethyl alcohol.
Solution video
OpenStax College Physics for AP® Courses, Chapter 11, Problem 42 (Problems & Exercises)

vote with a rating of
votes with an average rating of
.
Calculator Screenshots
Video Transcript
This is College Physics Answers with Shaun Dychko. We are going to calculate the density of an unknown fluid using measurements of the apparent mass of a known piece of material which is iron and submerged in that fluid. So this mass of iron outside of the fluid is 390.0 grams and the apparent mass in the fluid is 350.5 grams. So the first question is what mass of fluid is displaced? So the buoyant force that the piece of iron experiences is its weight... the difference between its weight out of the fluid and the weight in the fluid; we can factor out this g and we have m out minus m in times g. And the buoyant force according to Archimedes principle is also the weight of the fluid displaced so that's the mass of the fluid times g. So we can substitute F B with this and we do that here and that equals this right hand side here. The g's cancel and we are left with mass of the fluid is the difference between the mass of iron out and in the fluid. So that's 390.0 grams minus 350.5 grams which is 39.5 grams. The next question is what is the volume of iron? Now the density of iron is its mass divided by its volume and we can solve for volume by multiplying both sides by V Fe over ρ Fe and we end up with the volume is the mass divided by the density. So that's 390.0 grams divided by 7.8 grams per milliliter and we can say that this is the mass of the iron, I mean, strictly speaking, it's not quite true because there's some buoyant force due to the air when this measurement was made but that's gonna be so small and negligible, it probably affects some decimal point that's not even shown here. Okay! This works out to 50.0 milliliters. And now part (c) is... the question is what is the density of the fluid and then figure out what that fluid is. So it's gonna be its mass divided by its volume displaced and the volume of the fluid displaced will be the same as the volume of iron that's submerged in it so we can replace V fl with V Fe that we found in part (b). So the density of the fluid then is 39.5 grams— which is what we found in part (a), that's the amount of fluid displaced— divided by 50.0 milliliters and that's 0.79 grams per milliliter and this is ethyl alcohol when you consult this table [11.1]; ethyl alcohol has a density of 0.79 grams per milliliter.