Question
What is the ratio of heights to which ethyl alcohol and water are raised by capillary action in the same glass tube?
Final Answer
Solution video
OpenStax College Physics for AP® Courses, Chapter 11, Problem 67 (Problems & Exercises)

vote with a rating of
votes with an average rating of
.
Calculator Screenshots
Video Transcript
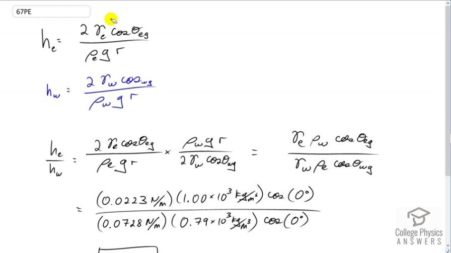
This is College Physics Answers with Shaun Dychko. The height to which a fluid is raised in a tube through capillary action is given by this where we have two times the surface tension of the fluid, times cosine of its contact angle with whatever the material is that the tube's made of, divided by the density of the fluid times g times the radius of the tube. So for ethyl alcohol it'll be this formula and then for water it'll be the same terms but with subscripts w on them to describe for water. This is the contact angle between water and glass whereas this is the contact angle between ethyl alcohol and glass. So when we divide these two things, we get this expression for the height of the ethyl alcohol, and then we're going to multiply it by the reciprocal of the height for the water. We see that many things cancel. The g's cancel, so do the r's and the two's and we're left with gamma e rho w cosine of theta e g, divided by gamma w rho e cosine theta w g. That is going to be the ratio of the heights. So then we plug in numbers by looking them up in tables in the textbook. So we have 0.0223 newtons per meter is the surface tension of ethyl alcohol multiplied by one times ten to the three kilograms per cubic meter density of water, times cosine of zero degrees contact angle between ethyl alcohol and glass. We divide that by 0.0728 newtons per meter surface tension of water, times 0.79 times ten to the three kilograms per cubic meter density of ethyl alcohol, times cosine of zero degrees which is also the contact angle between water and glass. We get 0.39 is the ratio of the heights.