Question
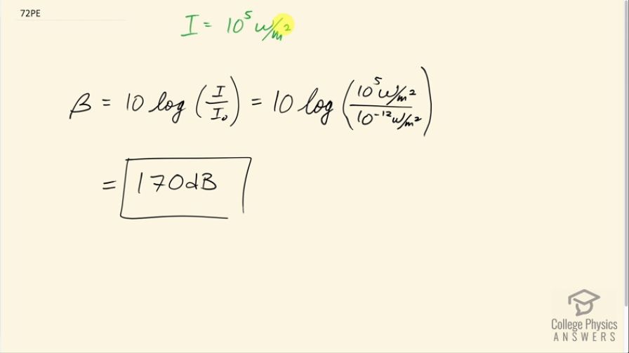
What is the sound intensity level in decibels of ultrasound of intensity , used to pulverize tissue during surgery?
Final Answer
Solution video
OpenStax College Physics for AP® Courses, Chapter 17, Problem 72 (Problems & Exercises)

vote with a rating of
votes with an average rating of
.
Calculator Screenshots
Video Transcript
This is College Physics Answers with Shaun Dychko. The intensity of the ultrasound used to destroy some human tissue during surgery is 10 to the 5 watts per square meter and the question asks us to find the sound intensity level which is in decibels. So the sound intensity level is 10 times logarithm of the intensity divided by the intensity of the threshold of hearing. So that's 10 times logarithm of 10 to the 5 watts per square meter divided by 10 to the minus 12 watts per square meter which is 170 decibels.