Question
The amplitude of a sound wave is measured in terms of its maximum gauge pressure. By what factor does the amplitude of a sound wave increase if the sound intensity level goes up by 40.0 dB?
Final Answer
Solution video
OpenStax College Physics for AP® Courses, Chapter 17, Problem 24 (Problems & Exercises)

vote with a rating of
votes with an average rating of
.
Video Transcript
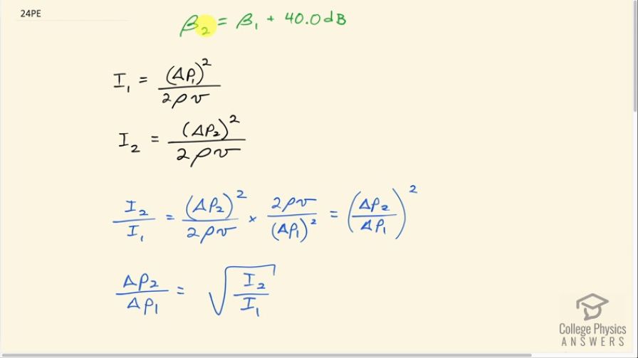
This is College Physics Answers with Shaun Dychko. In this question, we want to know by what factor does the sound pressure amplitude goes up as a result of the sound intensity level increasing by 40.0 decibels? So there are three ways of describing how big a sound is: one is the pressure amplitude, which is this ΔP; another is its intensity which is watts per square meter; and another is the intensity level which is this decibels. Okay! Now intensity number 1—the first sound— is the pressure amplitude squared divided by 2 times the density of the medium in which sound is traveling which is air in this case multiplied by the speed of sound in that medium and I 2 is ΔP 2 squared over 2ρV. Now if we find the ratio of these two intensities, we have this first intensity divided by the other one but instead of dividing by this fraction, I am going to multiply by its reciprocal since I find that easier to look at. And when we line it up this way, we can see that these parts cancel and we are left with the ratio of the intensities is the square of the ratio of the sound amplitudes. So we have these pressure amplitude then ratio is the square root of the intensities so take the square root of both sides here. Okay! Now that we know that, we need to find the ratio of the intensities. So the intensity sound level is 10 times the logarithm of the intensity divided by some reference intensity for the threshold of hearing and we can expand this logarithm using the quotient rule for logs and say that it's 10 times logarithm of the top thing minus the logarithm of the bottom thing and then distribute the 10 into the brackets here 10 times log first intensity minus 10 times log reference intensity. The second sound level will be 10 log I 2 minus 10 log I naught by the same logic that we used up here. So when you have a difference in intensities, which is what we have here, we have a relation between one intensity and the other and we can find the difference in intensities by subtracting the right hand side of these two equations. So we have 10 log I 2 minus 10 log I naught minus this thing in brackets 10 log I 1 minus 10 log I naught and then this minus goes into the brackets making this term minus and this term a plus and then this plus 10 log I naught and this minus 10 log I naught will make zero and we are left with 10 factored out times log I 2 minus log I 1 and then we use the quotient rule for logs in the other direction and write this difference of two logarithms as the logarithm of a single quotient. So 10 times log I 2 over I 1. And the purpose of all this is to figure out what is the ratio of the intensities because if we knew that, we can find the ratio of the pressure amplitudes. So we divide this by 10 and this by 10 and we get log I 2 over I 1 is β 2 minus β 1 over 10 and then make both sides exponents of 10. So I 2 over I 1 then is what this left side turns into equals 10 to the power of β 2 minus β 1 over 10. Then this can get substituted in place of I 2 over I 1 in our formula for the ratio of pressure amplitudes. So I 2 over I 1 is now replaced with 10 to the power of β 2 minus β 1 over 10 but the square root can be written as an exponent one-half and now we have an exponent to an exponent which means we multiply the exponents and so this makes the denominator 20 because we have 10 on the bottom of this fraction and 2 on the bottom of this fraction and that makes 20 on the bottom. So here is our formula for the ratio of pressure amplitudes in terms of the difference in sound levels. So β 2 we are told is 40 more than β 1 and the β 1's make zero here and we are left with 10 to the power of 40 over 20 which is 10 to the power of 2 and 10 to the power of 2 is 100.