Question
Suppose a person has a 50-dB hearing loss at all frequencies. By how many factors of 10 will low-intensity sounds need to be amplified to seem normal to this person? Note that smaller amplification is appropriate for more intense sounds to avoid further hearing damage.
Final Answer
Solution video
OpenStax College Physics for AP® Courses, Chapter 17, Problem 65 (Problems & Exercises)

vote with a rating of
votes with an average rating of
.
Video Transcript
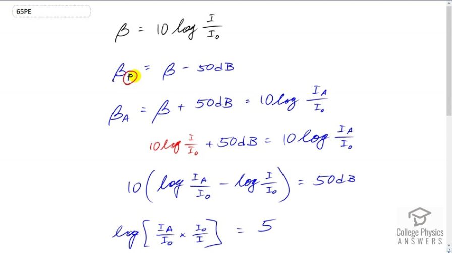
This is College Physics Answers with Shaun Dychko. In this question we have a person with hearing loss that will have a perceived sound intensity level that is 50 decibels less than the sound level perceived by somebody with normal hearing. Now in general the formula for sound level is ten times logarithm of intensity divided by reference intensity. Now, the… in order to compensate for this hearing loss in this person, we are gonna have to add 50 decibels to the regular person intensity level in order to create an amplified intensity level that the person with hearing loss will perceive as having the same level as somebody with normal hearing perceives. So, we have to make the amplified sound 50 decibels greater in order to compensate for the hearing loss. Now, this is the same as ten logarithm of the amplified intensity divided by reference intensity and we are going to figure out how the amplified intensity compares to the original intensity, which we can get out by substituting for Beta in, reading as ten times logarithm of regular intensity divided by reference intensity, that’s just a substitution of this formula in place of Beta and then we are going to rearrange things a little bit. We are gonna subtract ten log I over I naught from both sides and then switch the sides around as well and then factor out this common factor ten between these two logarithms and we have ten times log amplified intensity over I naught minus logarithm of regular intensity over I naught and we are doing this in order to create a relationship between amplified intensity and regular intensity and all of this equals the 50 decibels that’s left behind there. Now, there is a logarithm rule, that says when you have the difference of the two logarithm, logarithm of some a minus logarithm of some argument b that, you can instead write it as the logarithm of the first argument a divided by the second argument b, so that we can write these two argument that are separated by a minus sign as a single logarithm where the arguments are divided. So, we are going to simplify this binomial term and turn it into a single term where we have I a over I naught divided by I over I naught. They don’t use a division sign here because instead of dividing a fraction by a fraction which gets messy, I like to instead multiply by the reciprocal of thing that's being divided by. So, we have the reciprocal of this written here, so its I naught over regular intensity I and the I naught canceled and so we have the logarithm of amplified intensity over I equals five and also divide by ten on both sides by the way there, that's why there is a five there instead of 50. So logarithm of amplified intensity over regular intensity equals five. Now, we are getting somewhere because we have just a three things here and we can make relationship between amplified intensity and regular intensity. Now, we are gonna make both sides the exponents of ten to get rid of the logarithm because ten to the logarithm base ten is going to be the argument and so on the left side, we have I a over I and on the right side we have ten to the five and so we solve for amplified intensity by multiplying both sides by regular intensity and so the amplified intensity is ten to the five times I. Now, the wording of the question is asking us the number of factors of ten, so that’s another way of saying how many times must, we multiply by ten and the answer is five coz that’s the exponent is the number of times you multiplied by the base. So, we have ten times itself five times and so the number of times we multiply by ten is five