Question
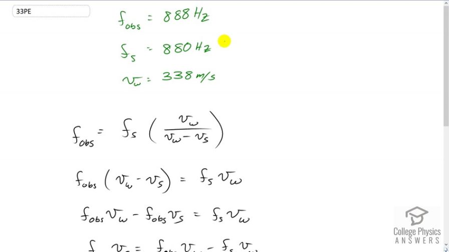
A spectator at a parade receives an 888-Hz tone from an oncoming trumpeter who is playing an 880-Hz note. At what speed is the musician approaching if the speed of sound is 338 m/s?
Final Answer
Solution video
OpenStax College Physics for AP® Courses, Chapter 17, Problem 33 (Problems & Exercises)

vote with a rating of
votes with an average rating of
.
Calculator Screenshots
Video Transcript
This is College Physics Answers with Shaun Dychko. The frequency observed is 880 hertz, and the frequency of the source, according to the trumpeter who's not moving with respect to the trumpet, of course, because he's playing it, is 880 hertz, and the speed of sound on this day is 338 meters per second. And so, the question is how fast is the trumpeter moving towards the observer. Well, we know that this is our doppler effect formula here, where we have the source moving with respect to a stationary observer. And the frequency of the observer will notice is the source frequency times the speed of sound divided by the speed of sound minus the speed of the source. And, we can remember that there needs to be a minus here because a source approaching an observer will result in the observer noticing a higher frequency that the source is. And so, to get a higher frequency, you would need to reduce the denominator here. And so that means it must be a minus and not a plus, when the source is approaching the observer. So, we have to solve this for Vs, because we're trying to find the trumpeter's speed based on measurements of the sound. So we multiply both sides by Vw minus Vs. And, we get V, or frequency observed times Vw minus Vs equals source frequency times the speed of sound. And then we'll multiply it through by the frequency observed, and then add this term to both sides in order to isolate Vs. Well, I guess I didn't really do that way. Well, I did that, and then subtracted this as well, so I guess it's two steps here, so. F observed Vs added to both sides, and then subtract away frequency of the source times the speed of sound. Okay. And then switch sides around, so that you have the unknown on the left. So, we have frequency observed and Vs equals frequency observed times Vw minus frequency of the source times Vw. And then divide both sides by the observed frequency to get our final formula for the speed of the source. And it's going to be speed of sound times the difference in frequencies, divided by the observed frequency. So, that's 338 meters per second times 888 hertz minus 880, divided by 888 hertz, giving us speed of 3.05 meters per second as the speed at which the trumpeter is approaching the observer.