Question
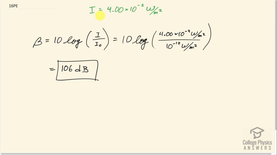
What sound intensity level in dB is produced by earphones that create an intensity of ?
Final Answer
Solution video
OpenStax College Physics for AP® Courses, Chapter 17, Problem 16 (Problems & Exercises)

vote with a rating of
votes with an average rating of
.
Calculator Screenshots
Video Transcript
This is College Physics Answers with Shaun Dychko. Earphones are producing sound with an intensity of 4.00 times 10 to the minus 2 watts per square meter and the question is what is the sound intensity level, which is in decibels? And it is 10 times logarithm of the intensity divided by some reference intensity which is the threshold of hearing. So 10 times the logarithm of 4.00 times 10 to the minus 2 watts per square meter divided by 10 to the minus 12 watts per square meter is 106 decibels.